Welcome to the new IOA website! Please reset your password to access your account.

Numerical simulation of vibration damping by granular materials Takumi Asakura 1 Tokyo University of Science, Graduate School of Science and Technology 2641, Noda, Chiba, Japan

ABSTRACT In recent years, there have been examples of efforts related to vibration reduction of plate vibration using granular materials, impact dampers, etc. On the other hand, as a means of analyzing the influence of the application of granular material on the vibration characteristics of the plate-shaped structure, it is currently said that little knowledge has been obtained. In this report, a simulation method of the damping effect of bending oscillation of the plate by granular material combining following two kinds of methods was proposed. One is the discrete element method (DEM) for analyzing the motion of the granular material. The other is the finite-difference time-domain (FDTD) method for vibration analysis of the thin plate.

In this proposed method, influence of the granular material on the plate vibration was considered. Validity of the proposed method was confirmed by comparison between the results of the calculation and the model experiment. Then, this study confirmed the dependency of the damping effect of the plate vibration on the external excitation force caused by the granular material. 1. INTRODUCTION

Techniques of vibration control are one of the most important factors to improve in the quality of our current living environment, and those has been developed in various ways. Among them, the vibration control for plate-like structures such as ceilings and floors in the architectural fields has been well studied and has been also investigated for many years from the viewpoint of a floor-impact sound problem between dwelling units on the upper and lower floors in a residential space. The noise control technique which realizes sufficient damping effect of the ceiling structure by laying charcoal bag on the ceiling board has been reported [1]. In these researches, it is supposed that the damping effect may be caused by the collision of the granular material and the plate-like oscillator. The vibration control effect has been determined experimentally in various papers, but analysis method has not been sufficiently yet investigated. It is difficult to accurately predict the damping effect caused by such granular materials by only considering the vibration analysis of plates, can be realized by combining that simulation method of bending-vibration of plates and particle motion of the granular materials. While various kinds of researches related to vibration damping have been studied, simulation method of such phenomena has not been sufficiently developed. Therefore, it is effective to analyze the motion of particles in addition to the vibration characteristics of the bending vibration of plate- like structures and to efficiently couple them.

There are various kinds of methods currently available for vibration analysis of main oscillators, and these methods are classified into energy-based, and wave-based methods. Methods based on energy include practical methods [2, 3] using empirical formulas and

1 t_asakura@rs.tus.ac.jp

Jai. inter noise 21-24 AUGUST SCOTTISH EVENT CAMPUS ? O ? . GLASGOW

statistical energy analysis (SEA)[4], which are used as predictions in aerospace engineering [5]and building fields respectively[6, 7]. While SEA can be applied without limitation to high frequencies, it is difficult to obtain accuracy at relatively low frequencies. To address such problems, a hybrid method combining SEA and wave finite element method (FEM) has been applied to the problem of structure propagation noise by Cotoni et al., [8]. On the other hand, methods based the wave are FEM, BEM, FDM, etc. Since these wave numerical analyses include phase information, they make it possible to predict vibration characteristics at low and medium frequencies like building vibrations. On the other hand, the FDTD method has numerical advantages that can easily visualize the wave propagation mechanism, and applied to acoustics and vibration fields [9, 10].

On the other hand, to simulate such a motion of granular bodies, DEM (Discrete element method) has been used. DEM was devised by Cundall and Strack [11] to analyze the complex behavior of soil in rock engineering, and it is a method that is still in development [12]. Moreover, analysis using DEM is also carried out in research in a wide field such as research of dampers with particles in the field of mechanical engineering [13].

So, in this research, the simulation method which couple the DEM and FDTD method is proposed, and the damping effect caused by the granular material were numerically studied. the detail of the proposed method and validation method were firstly described. Next, the damping effect of the granular material was discussed through the numerical and experimental results. 2. Numerical Analysis

2.1. Finite-difference time-domain method

This study investigates the time domain calculation for bending-vibration analysis of thin plate. The FDTD method is a method of simulating vibration propagation by sequentially performing the time integration on orthogonal meshes. In this study, vibration analysis of thin plate is performed by solving propagation equation of bending wave for thin plate existing in x-y plane by finite differential scheme.

2.1.1 Basic scheme

Equation (1) shows the governing equation for bending wave propagation.

Here, out-of-plane displacement of bending wave vibration w , density 𝜌 , thickness h , flexural rigidity D (𝐷= 𝐸ℎ ଷ /12(1 −𝜐 ଶ )) , loss factor of material 𝜇 and 𝜉 , external force q , respectively.

In the FDTD method, the differential term of the governing equation represented by the differential equation is changed into a finite-differential equations, and solve them step-by-step calculation.

2.2 Discrete Element Method

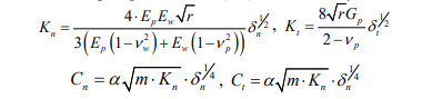
DEM is a simulation that creates a numerical model consisting of many particles and simulates the displacement and rotation of each particle. The contact force is calculated using the contact model between particles, and the acceleration, velocity, and displacement of the particles are obtained by the difference method from the obtained contact force. In this study, contact force between particles is divided into normal direction, and tangential direction as shown in Fig. 2, were three-dimensionally calculated. 2.2.1 Basic scheme

The acting force 𝐹 ௡ in the normal direction and the acting force 𝐹 ௧ in the tangential direction shown in Figure 1 are expressed by the following equation.

n n n n n F K C        (2)

t t t t t F K C        (3)

Here, the displacement increment 𝛿 , the velocity increment 𝛿 ̇ , the spring constant K , and the

viscosity constant C in each direction, respectively. Since the Hertz contact model is adopted in this study, the particles are in a non-linear contact condition, and the spring constant 𝐾 ௡ , 𝐾 ௧ and viscosity constant 𝐶 ௡ , 𝐶 ௧ in each direction are modeled as the following equation.

Here, Young's modulus E , shear modulus G , Poisson's ratio 𝜈 , radius r , and damping coefficient α , respectively. The damping coefficient can be obtained from the coefficient of restitution. The acceleration, velocity, and displacement for the acting force between particles expressed by these equations can be obtained by the finite-differential equations composed based on the abovementioned numerical conditions.

Figure 1 ― Numerical model of the contact between particles, in(a) normal, and (b) tangential directions.

2.3. Coupling of FDTD and DEM

To simulate the damping effect of granular material, considerarion of the influence of granular material on plate vibration, and that of plate vibration on granular material are required. Hence, this study was performed by coupling DEM and FDTD method mentioned above. Therefore, in FDTD analysis for bending vibration of thin plate, we considered the contact force caused by the collision with particles and the effect of out-of-plane displacement in DEM analysis. These two considerations are mutually interfered with each other.

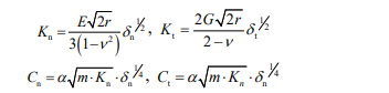
The plate vibration was simulated by considering the influence of out-of-plane displacement in DEM analysis. The contact force 𝑓 ௣ between the thin plate and the particles is obtained from Eqs. (2) and (3) as well as the contact forces between particles. Equations (8) to (11) were used for estimation of the spring constant 𝐾 ௡ , 𝐾 ௧ and viscos it y constant 𝐶 ௡ , 𝐶 ௧ .

14 t n n C m K      (10, 11) Here, displacement increment 𝛿 , displacement increment 𝛿 ̇ , spring constant K , viscosity constant C , Young's modulus E , particle mass m , particle radius r , damping coefficient α , Poisson's ratio 𝜈 , respectively. The subscripts p and w mean particles and wall (plate).

14 n n n C m K      ,

The increment of displacement can also be calculated from the difference between the increments of the out-of-plane displacement and the particle displacement, which are expressed as a ratio from the four plate elements surrounding the colliding particle center in the x, y coordinates of the particle center. The inclination of the plate at the contact point was also determined. Moreover, particle collision is considered in the analysis of plate vibration using the FDTD method by adding the contact force 𝑓 ௣ with the particle as the external force term q in Eq. (1). At this time, 𝑓 ௣ means the z -direction component of the contact force between the particle and the plate described in the section 2.3.1. This contact force was also similarly distributed using four ratios around the contact point. In this way, by considering the plate

vibration and the particle collision, the force considering the inclination of each element is given to the particle, and the z direction component that influences the plate vibration among the forces is added to the equation of bending wave propagation as the external force.

3. Numerical case study

3.1 Calculation model

Figures 2 and 3 show models for simulating the damping characteristics of plate vibration by granular materials. As shown in the figure, place a spherical particle with a radius of 4 mm on a flat plate of 500 mm × 500 mm × 10 mm with all of the four sides and corners with free edge, and the corners are supported by spring elements in the z -direction. A virtual box of 100 mm × 100 mm × 100 mm was set at the center of the flat plate to prevent the particles from spreading around by the vibration. The vibration characteristics of the plate were evaluated by giving a transient response from the negative to positive direction in the z -direction at the center of the plate as the excitation force and reading the accelerance and acceleration of the center of the plate at that time. In this study, the values required to the simulation are given as shown in Table 1. The physical phenomena was simulated by using these parameters.

Table 1 - Property value about analysis object.

Particle Plate

Young’s modulus, E 17.2 4.97

Density, 𝜌 [kg/m³] 11.337 1.150

Poisson's ratio, 𝜈 [-] 0.44 0.388

Shear modulus, G [GPa] 5.6

Damping 0.912 0.799

Radius, r [m] 0.004

Thickness, h [m] 0.01

Figure 2 - Simulated model.

Figure 3 - Simulated model (overhead view).

3.2 Numerical results

To evaluate the influence of granular material on thin plate vibration, the main purpose was set to confirm the difference between the vibrational characteristics, when granular material was applied. Firstly, we compared time response of the acceleration with or without granular materials. Secondly, the accelerance is compared with the case when each excitation force (20N, 50N, 80N, 120N, 200N) is applied granular materials, and the influence by the excitation force is evaluated. The obtained time-response of acceleration with and without the granular material is shown in Fig. 4. As can be seen from these results, it is confirmed that the peak of the acceleration was reduced by applying the granular material. The spike-like waveforms were also observed at about 0.015s to 0.04s. It may be due to the jump-up phenomena of the granular materials acted by the external force of the hammering.

500 SR(Source/Receiving|point) 500 y a 3 y plate Unit: mm x sure 3— Simulated model (overhead view).

To evaluate the influence of the excitation force, excitation was performed with each excitation force, and the frequency response of the acceleration was confirmed. Firstly, Fig.5 shows the accelerance when excitation force of 10N, 50N, and 100N was applied without particles. As can be seen from these results, it can be read that the graphs match all three

Figure 4 - Time transient response of the acceleration (Excitation force is 100N) .

excitation forces. From the fact that the accelerance was obtained by dividing acceleration by excitation force was the same, it can be confirmed that the acceleration has linearity with respect to the excitation force in the case of the vibration of the flat plate without granular materials.

7 S$ w S y = S Accelerance [dB] L Frequency [ 500 ]

Next, Fig.6 shows the accelerance calculated by applying granular material and giving each excitation force (20N, 50N, 80N, 120N, 200N). From this result, it was confirmed that the acceleration has nonlinearity with respect to the excitation force in the vibration of the flat plate with particles from the fact that the graphs have difference about each excitation force. In

Figure 5 - Frequency response of the accelerance (No particle).

= rpnwey sss Ss _Accelerance [dB] —20N —S0N 60 —80N —120N | —-200N — No particle 500 Frequency [Hz]

Figure 6 - Calculated frequency response of the accelerance (Number of particles is 80).

— No Particle — With 80 particles} 0 -500 -1000 -1500 Acceleration[m/s”] 0 0.01 0.02 0.03. ~-0.04 0.05 Time[s] deena nit ean mnan nfétha annalacatinn (Cop

addition, reduction of the resonance frequency at the resonance of the (1, 1) bending mode and reduction of the accelerance can be confirmed by the addition of the granular material. When the excitation force is large, the resonance of the (5, 5) and (7, 7) bending mode is seen to approach the value of the accelerance without particles. In addition, when the excitation force is small, the resonance of the (1, 1) bending mode is seen to approach that. Thus, there was no consistent tendency that the damping effect was larger as the excitation force was larger or smaller.

4. Experimental investigation for acrylic scale model

4.1 Outline of experiment

The validity of the coupled analysis method proposed was confirmed by verification experiments using an acrylic vibration model.

The model experimental apparatus is shown in Figures 7 and 8. A flat plate with size of 500 mm × 500 mm × 10 mm, whose four corners were supported by hanging with rubber, was adopted. The particles were spherical with a radius of 4 mm. In order to prevent the particles from spreading around, they were surrounded by a lightweight polyethylene buffer material. An acceleration pickup was attached to the center of the flat plate, and the center of the lower surface of the flat plate was excited by an impact hammer.

The excitation force was applied with the situation in which the particles are evenly distributed as the initial condition, but it is difficult to evenly arrange the particles in the experiment. Therefore, the following measurement method was adopted. With the particles randomly placed in the area partitioned by the buffer material, the plate was vibrated and the excitation force and acceleration at that time were read. This was carried out several times, and the average value of the obtained plurality of accelerances was calculated and used as the experimental results.

In addition, in order to avoid the experimental result largely depending on the arrangement of the particles, in the experiment, the plate is shaken to arrange the particles as uniformly as possible at each vibration. A large number of excitation attempts were made to be close to the excitation forces(20N, 50N, 80N 120N, 200N). Ten pieces of data as close as possible to each of the five types of excitation force were extracted from each of the obtained large number of experimental results, and the average value of these was evaluated.

Figure 7 - Model experimenting apparatus.

Figure 8 - Model experimenting apparatus.

4.2. Results and Discussion

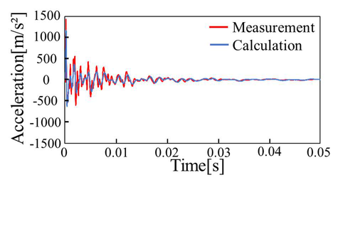
To confirm that the excitation force characteristics are identical between simulation and experiment, the time-response of the excitation force is shown in Fig. 9. From this result, it can be seen that the experiment and simulation are in good agreement. Therefore, it is possible to compare equally. Next, the time response of acceleration when applying an excitation force of 100 N with and without the granular materials were confirmed in Figs. 10 and 11. The numerical

results and the experimental results were in good agreement without the addition of granular materials. On the other hand, in the state where the granular material was applied, it agreed well up to 0.01 seconds, but a difference between them was occurring after that time.

Next, experimental results and numerical results are compared for the accelerance when applying granular material and applying each excitation force (20N, 50N, 80N, 120N, 200N). The experimental results are shown in Fig. 12 and the numerical results are shown in Fig.6. As can be seen from these results, it was confirmed that the following tendencies were seen in the numerical results; the excitation force dependency and the decrease of each bending mode frequency in the state where the granular material is applied, even in the experimental results. In addition, in the experimental results, the frequency characteristics around the (3, 3) bending mode under the condition of the excitation force of 20 N are different from other excitation forces, but the same tendency is also seen in the analysis results. On the other hand, in the experimental results of the excitation force of 80 N, unlike the analysis results, no sharp peak was found at the (1, 1) bending mode frequency.

1500 1000 500 -500 -1000 -1500 Acceleration[m/s”] — Measurement — Calculation 0.01 0.02, 0.03 0.04 0.05 Time[s]

1500 ny 1000 — Measurement = — Calculation “S500 g 3 0 & -500 gam 1G 0.01 0.02 0.03 0.04 0.05 Time[s]

Fi 4 7 Ti

Figure 9 - Time transient response of the excitation force.

30 —80N —120N Accelerance [dB] Frequency [Hz] a

Figure 11 - Time transient response of the acceleration. (Excitation force is 100N. )(Number of particles is 80.).

Figure 10 - Time transient response of the acceleration. (Excitation force is 100N. )(No Particle).

Figure 12 - Measured frequency response of the accelerance.

5. CONCLUSIONS

A simulation method combining DEM for the motion analysis of granular materials and FDTD for the bending vibration analysis of plates was proposed. Through a numerical study, the influence of the granular material on the vibration characteristics of the plate was

Excitation force [N] rpeoexsn ess SSSR 0.2 — Measurement — Calculation 04° 0.6 0.8 1.0 1.2 . Time. [ms]

investigated. From the case study, it was suggested that the damping effect by the granular materials on plate vibration can be predicted by using DEM-FDTD. The validity of the proposed numerical scheme is confirmed by comparison with the verification experimental results by acrylic model.

REFERENCES 1. T. Yamauchi, S. Kawamata, “Reduction of Heavy-weight Floor Impact Sound by Granular

Materials on Ceiling,” INCE, 2018, pp. 5033–5040. 2. A. C. Nilsson, “Attenuation of structure-borne sound in superstructures on ships,” J. Sound Vib,

55(1), 1977, pp. 71–91. 3. Y. Matsuda, H. Tachibana, and K. Ishii, “Propagation characteristics of solid-borne sound in

building structures,” J. Acoust. Soc. Jpn., 35(11), 1979, pp. 609–615. 4. R. H. Lyon, Statistical Energy Analysis of Dynamical Systems (MIT Press, Cambridge, 1975). 5. J. E. Manning, R. H. Lyon, and T. D. Sharton, “Transmission of sound and vibration to a shroud-

enclosed spacecraft,” NASA Tech. Rep., CR-81688, 1966. 6. M. D. McCollum and J. M. Cuschieri, “Bending and in-plane wave transmission in thick connected

plates using statistical energy analysis,” J. Acoust. Soc. Am. 88(3), 1990, pp. 1480–1485. 7. H. Furukawa, K. Fujiwara, Y. Ando, and Z. Maekawa, “Analysis of the structure-borne sound in

an existing building by the SEA method,” Appl. Acoust . 29, 1990, pp. 255–271. 8. V. Cotoni, P. Shorter, and R. Langley, “Numerical and experimental validation of a hybrid finite

element-statistical energy analysis method,” J. Acoust. Soc. Am., 122(1), 2007, pp. 259–270. 9. D. Botteldooren, “Finite-difference time-domain simulation of low-frequency room acoustic

problems,” J. Acoust. Soc. Am., 98(6), 1995, pp. 3302–3308. 10. J. LoVetri, D. Mardare, and G. Soulodre, “Modeling of the seat dip effect using the finite-

difference time-domain method,” J. Acoust. Soc. Am., 100; 1996, pp. 2204–2212. 11. P. A. Cundall, O. D. Strack, "A discrete numerical model for granular assemble," Geotech., 29,

1979, pp. 47–65. 12. E. Oñate, F. Zárate, J. Miquel, M. Santasusana, M. A. Celigueta, F. Arrufat, R. Gandikota,

K. Valiullin, L. Ring, “A local constitutive model for the discrete element method. Application to geomaterials and concrete,” Comput. Part. Mech., 2(2), 2015, pp. 139–160. 13. M. Saeki, “Impact damping with granular materials in a horizontally vibrating system,” J. Sound

vib., 251(1), 2002, pp. 153–161.