Welcome to the new IOA website! Please reset your password to access your account.

Numerical investigation of sound transmission through single and double walls with periodic arrays of resonators Milica Jovanoska 1 Faculty of Civil Engineering Ss. Cyril and Methodius University Blvd. Partizanski Odredi 24, Skopje, N. Macedonia Todorka Samardzioska 2 Faculty of Civil Engineering Ss. Cyril and Methodius University Blvd. Partizanski Odredi 24, Skopje, N. Macedonia

ABSTRACT Lightweight partition walls are widely used in buildings, especially nowadays when sustainability is of a major interest. At the same time noise pollution is becoming a growing problem across the globe, as a result of the life dynamics. All this implies the need to find possible solutions for sound insulation enhancement of the lightweight partitions. This paper is focused on exploring the possibilities of exploiting the dynamic effects of periodic subwavelength arrays of resonators for sound insulation improvements. It can be shown that the resonance mode of the resonators couples with the plate vibration in the way of breaking the mass law and overcoming some phenomena like coincidence effect, mass-air-mass resonance, etc. In order to improve the sound transmission loss in a specific frequency region, periodic resonant units are tuned and introduced to single and double panels. The investigation of considered panels under acoustic field excitation is conducted using different methods. Sound transmission loss curves and dispersion diagrams are calculated. Finite element method is employed for this purpose, but also the theory of elasticity and well-known transfer matrix method (TMM). Several designs of resonators are proposed.

1. INTRODUCTION

Acoustic resonant metamaterials have recently become very popular among the researchers for the purpose of sound wave control [1],[2],[3]. One can define them as artificial periodic structures with unique acoustic wave manipulation properties, owing to the dynamic influence of their local resonant units. Z. Liu et al., [4], have fabricated periodic structure with silicone rubber coated lead sphere as unit cell and experimentally prove the existence of such local resonance band gap. The drawback of this concept is that this interesting power for wave manipulation, works only in specific narrow frequency band associated with the resonant frequency of the resonant units, [5]. Nevertheless, from the extensive research in the last decade in the field of acoustic resonant metamaterials, it can be concluded that their application for sound insulation treatment is feasible, but there are still many

1 m.jovanoska@gf.ukim.edu.mk 2 samardzioska@gf.ukim.edu.mk

challenges for the researchers. Different design ideas are already explored for possible improvements in the region of coincidence [6], [7], [8], [9], mass-air-mass resonance [10], [11], [12] ring frequency [13], low-mid frequencies [14], [15], [16] etc.

The interest of this paper is to investigate the possibilities of using periodically attached resonant units to suppress the wave motion of a panel that is exposed to acoustic excitation and to enhance its sound transmission loss. Single and double gypsum panels are selected as host structures. Oblique and diffuse incidence is considered. The dynamic effect of the resonators is implemented in the transfer matrix method and finite element method through the effective mass density, from which the sound transmission loss is calculated. Finite element method is also used to calculate the dispersion diagrams and investigate the band gap creation for different designs of resonators.

2. METAMATERIAL MODELLING

2.1. Effective mass density method (EM)

Figure 1: Metamaterial model: a) infinite thin plate with periodic resonators, b) periodic arrangement of the resonators, c) unit cell, d) reciprocal space, irreducible Brillouin zone Г X M-Г.

For elastic host plate with periodically attached single degree of freedom mass-spring units with periodicity constant much smaller than the wavelength of the motion in the plate, effective mass density representation is possible, [6]. This concept allows the use of equations derived for the host plate simply by replacing the mass density term with a frequency dependent effective mass density that incorporate the dynamic influence of the resonant units:

𝜌 𝑟,𝑗

(1)

𝜌 𝑒𝑓𝑓 = 𝜌+

1 − 𝜔 2

2 (1+𝑖𝜂𝑟,𝑗)

𝜔𝑟,𝑗

where ω r,j is the resonance frequency of the j-th resonator, damping is introduced by complex spring constant k r,j (1+iη r,j ) , η r,j is the loss factor.

2.2. Transfer matrix method (TMM) For modelling the unbounded multi-layered systems, transfer matrix method is used. Based on the theory of elasticity and Biot’s theory, 4x4 transfer matrix for elastic-solid layer and 6x6 transfer matrix for elastic-porous layers are given in [17], and for orthotropic solid layer is 6x6, [18],[19]. The transfer matrix for stationary fluid layer is 4x4. The transfer matrices relate the variables V that

ee reciprocal space

describes the acoustic field of the medium on both sides of a layer considering plane wave propagation:

𝑉(𝑀) = [𝑇]𝑉(𝑀 ′ ) (2)

Where M and M’ are points near the forward and backward face of each layer. The continuity conditions between adjacent layers are used to build the global transfer matrix. The fluids on both sides of the partition are semi-infinite. From this matrix, the reflection and transmission coefficient can be easily calculated hence the sound transmission loss.

For diffuse sound field, where the waves are incident from all direction with equal probability, the sound transmission coefficient can be obtained through integration:

∫ [∫ 𝜏(𝜃,𝜙)𝑠𝑖𝑛𝜃𝑐𝑜𝑠𝜃𝑑𝜃]𝑑𝜙 𝜋/2 0 2𝜋 0

∫ [∫ 𝑠𝑖𝑛𝜃𝑐𝑜𝑠𝜃𝑑𝜃]𝑑𝜙 𝜋/2 0 2𝜋 0 (3)

𝑆𝑇𝐿 𝑑 = −10𝑙𝑜𝑔 10

2.3. Finite element method (FEM) Finite element method will be used for calculation of the sound transmission loss (STL) and dispersion diagrams. 1D and 3D FEM model of infinite panel and 3D FEM model of finite panel are created for STL calculation, Figure 2. Periodic boundary conditions are employed for the infinite models. Perfectly matched layers are used for terminating the infinite fluid domains. Oblique and diffuse sound incidence is considered. Diffuse field incidence is modelled as pressure load, p diff , (incident + reflected), calculated as a sum of N random plane waves (random angles of incidence and phases, Φ):

1

1

√𝑁 ∑ 𝑒 (−𝑖(−𝑘 𝑛,𝑥 𝑥+𝑘 𝑛,𝑦 𝑦+𝑘 𝑛,𝑧 𝑧) 𝑒 𝑖Φ 𝑛 𝑁 𝑛=1 (4)

𝑃 𝑑𝑖𝑓𝑓 =

√𝑁 ∑ 𝑒 (−𝑖(𝑘 𝑛,𝑥 𝑥+𝑘 𝑛,𝑦 𝑦+𝑘 𝑛,𝑧 𝑧) 𝑒 𝑖Φ 𝑛 𝑁 𝑛=1 +

Figure 2: FEM model for infinite panel (left) and FEM model for finite panel (right) for calculation

of sound transmission loss.

Band diagrams i.e., dispersion diagrams are calculated using 3D FEM model of the unit cell by setting periodic boundary conditions based on Floquet-Bloch theory. In order to obtain the band structures, it is sufficiently to sweep the k-vector through the contour of the irreducible Brillouin zone Γ-X-M-Γ, Figure 1d. The main characteristic of the resonant metamaterials is their ability of creating stop bands - that is frequency range where no free propagation of waves exists. These stop bands can be easily detected via dispersion diagrams. The acoustic radiation efficiency in these stop band is investigated in [20].

3. PROBLEM DESCRIPTION

Single gypsum panel GP and double-leaf gypsum wall, GW, will be considered, Figure 3. Material properties of the walls are given in Table 1. The panels are analyzed without and with periodically

attached single degree of freedom mass-spring resonators, incorporated in the models via effective mass density, EM. When considering the sound transmission loss of single and double panels, the main “weak spots” are the coincidence region and mass-air-mass resonance. The target of this research is to analysis the possibility of “correcting” these weaknesses.

The mass of the resonators m r is selected to provide mass addition of m r /(ρha^2)=0.5 , i.e., 50%, while the stiffness of the spring is tuned in order to obtain the desired resonant frequency. The loss factor for the resonators is set to be 10%.

Figure 3: Configuration of considered panels. Table 1: Material properties.

GP GW Gypsum

Porous material Properties of the solid elastic

panels

Air saturated

pore - fluid

frame

properties Density [kg/m3] 720 700 30 1.2 Modulus of elasticity [GPa] 2.7 2.25 Poisson's ratio 0.3 0.3 0.3 Flow resistivity [Ns/m^4] 6000 Porosity 0.98 Tortuosity 1.06 Viscous dimension [μm] 150 Thermal dimension [μm] 300 4. RESULTS AND DISCUSSION

Sound transmission loss for oblique incidence, θ=60°, for bare GP and GP with attached resonators with different resonant frequencies is shown in Figure 4a. From the STL curve of the bare GP, the classical behavior of a single panel can be observed. The mass law is “interrupted” by the coincidence dip, determined by the critical frequency, fc. When the resonators are introduced, peaks/dips occur in the sound transmission loss. If the resonant frequency of the resonators is way below the coincidence dip, one sharp peak exists, then one sharp dip, followed by the coincidence dip. But if the resonant frequency is set to be in the coincidence dip, dominant role has the peak and depending on the position of the peak, the coincidence dip is more or less controlled. For the frequencies before the resonant frequency of the resonators, there is improvement in the mass law region due to the additional weight from the resonators, but for the frequencies after, the curve approaches the curve of the bare panel. If the resonant frequency of the resonant units is near the coincidence dip, even wider dip in the STL can occur, Figure 4a, green curve. In Figure 4b, comparison between classical treatments (increasing the thickness, increasing the density) and metamaterial design is presented. For the same total mass, the metamaterial design in this case, outperforms the classical treatments. In Figure 5a, the

rf cw Bes tes 03 GW+RES Bos tos ton)

comparison between TMM and 1D FEM infinite model is shown. The curves match perfectly. Here the resonators are tuned to the critical frequency of the host panel.

nner ‘TWM GP RES fr2500 He ‘TWM GP*RES fr=1000 He! “TMM GP*RES 1723600 He TMM GP+RES 1726500 He, ‘Oblique STL (48), 0=60" 10? 10° Frequency Hz)

a) b) Figure 4: STL for oblique and diffuse sound incidence of GP without and with periodically attached

Diffuse field STL [48] 10? 10° Freeney Ske)

resonators.

‘Oblique STL (48), 0=60" 10? 10 Frequency tz)

a) b) Figure 5: STL for oblique incidence of GP and GW without and with periodically attached

resonators.

row |--= FEM 10 GW rum eweres. <== FEM AD GwsRES: 3 10? 10° Frequency ie)

a) b) Figure 6: STL for diffuse sound incidence of GP and GW without and with periodically attached

Diffuse field STL [48 rer FEM 30 GP Frequency B42)

resonators.

Diffuse field STL [48 rm ew =~ -FEM30 GW Tum oweres. [== FEM a0 GwiRes. 10° Frewuarey Biz)

In Figure 5b, the STL curves for GW for oblique incidence, θ=30°, without and with periodically attached resonators are presented. Here the characteristic behavior of double walls under acoustic excitation is evident, where besides the mass law region and coincidence dip, mass-air-mass resonance occurs. The resonators are tuned to the mass-air-mass resonance and the improvement is evident. For the solid-porous-solid GW wall, in the TMM model, very thin fluid layer is introduced between layers. The 1D model and TMM results are in agreement.

For diffuse field, the STL calculation based on the finite 3D FEM model shows good agreement with the infinite TMM model, for GP and GW, Figure 6. The discrepancies in the low frequency region are because of the finite dimensions of the 3D FEM model.

Since in the previous published research, [6], [10], [20], [21], it was discussed that the vibrational stop bands related to the bending motion can be extended to acoustic stop bands i.e., these stop bands are frequency regions with high vibration attenuation and high sound transmission loss, the design of the resonators will be based on this analysis.

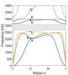
Materialization of resonators targeting the critical frequency of GP is proposed. This solution also applies to double wall with GP panels. The resonator is composed of steel mass and PLA 3D printed base. The resonators are attached to the plate in periodic schemes with periodicity constant a=5.5 cm. Mass addition is set to be around 80% (of the host plate) and the stiffness is controlled through the PLA base. For the bare panel it is obvious that no band gap exists, but for the metamaterial design, complete band gap with width of nearly 580 Hz appears, between 2560-3140 Hz. These results show that by tunning the dynamic behavior, a favorable interaction between resonators and bending wave in host plate is possible, resulting in band gap creation, Figure 7.

= 7 - E2s00 Poon fx 1000 \/ x M Re(ka/x)

[Ao] 3513[Hz] [80] 3513[Hz]

a) b)

c) Figure 7: Materialized resonator for gypsum plate h=12.5mm targeting the critical frequency,

dispersion diagrams for b) bare plate and c) plate with resonators.

[a] 2023{H2) [8] 2052{H2] [c] 2557[H2] N [0] 3399[Hz) {€] 3483(Hz) (F] 4242[H2]

For the proposed metamaterial design of GP, Figure 7a, the influence of three parameters is further investigated: modulus of elasticity of the spring element, Figure 8a, density of the mass element, Figure 8b and modulus of elasticity of the host plate, Figure 8c. From the plots, the variation of the band gap width can be seen, where f min is the lowest frequency of the band gap, while f max is the highest frequency of the band gap. For some specific values, second band gap is created, Figure 8b and Figure 8c.

2 soo E00 200 1000 So? ae EVE 10°

6000 N § [2H] fouenbey. 5 14 2000 ao

a) b) c)

Figure 8: Change of the band gap width due to the change of several parameters of the proposed resonator form Figure 7: a) variation of the modulus of elasticity of the spring element, b) variation of

the density of the mass element, c) variation of the modulus of elasticity of the host plate.

4500 4000 3500 =s000 g F200 “ 1500 +1000 Mo? ae EVE 10°

a)

Periodic BC

2500 Hz u2/F c #22700 Hz u2/F \

b) c)

Figure 9: a) FEM model of the metamaterial panel under harmonic excitation, b) Frequency response for 500 Hz and 2700 Hz, c) Frequency response of metamaterial plate in the points A’, B’,

A and B.

FRF without resonators a a ‘Frequency [Hz] “00 FRE with resonators B10 ‘§ 200|—e = 280, 2 or Paceoney 0d

Additionally, using FEM, the frequency response function of GP plate and proposed resonators (GP+RES) is calculated. Point-force harmonic excitation is applied as shown in Figure 9a and displacement amplitude divided by the input force, u z /F , is calculated in several points: A’, B’, A and B. From the frequency response, high vibration attenuation can be detected in the wide frequency region starting from 2200 Hz to 3000 Hz i.e., the resonators suppress the out-of-plane vibration of the host plate in the desired frequency region.

To confirm the acoustic effect of the structural stop band, i.e. to investigate the sound insulation properties of the designed metamaterial plate, GP+RES, 3D FEM model is created, Figure 10a, considering the air from both sides of the metamaterial plate. Oblique incidence of sound plane wave is considered with elevation angle θ=60° and azimuth angle φ=0° . With Floquet-Bloch periodic boundary condition the model is reduced to single unit cell. The resonator is modeled with his designed geometry and material properties. For comparison, the STL curve is also calculated using the Effective mass density method (EM) and Transfer matrix method (TMM). In the later approach the resonators are modeled as single degree mass-spring. Using FEM, the frequency of the first mode of the designed resonator, fixed at the bottom, is obtained, f r =2370 Hz .

a)

Incident sound: field (AIR) AIR PML

b) Figure 10: a) 3D FEM model for STL calculation, b) STL for oblique sound incidence of GP without and with periodically attached resonators, c) tuned resonator for oblique incidence θ=60°

The STL curves validate the good sound insulation behavior of the designed metamaterial plate, Figure 10b. The dynamic coupling of the resonators and the host plate creates pеаk in the STL and cancels part of the coincidence negative effect, of course, for the diffuse field, the critical frequency is lower. There are some discrepancies between FEM and TMM-EM results for the metamaterial plate. The periodicity is a=5.5 cm, so for the higher frequencies the subwavelength condition is compromised. If the STL curve of the metamaterial plate is compared with plate with same mass as the metamaterial plate and same critical frequency as the host plate, the range of the favorable effect of the resonators is noticeable. The similar design of the resonator experimentally was investigated under diffuse sound field for wood-based panel as host plate, [8].

The low frequency treatment is always a challenge. One design of resonator for low-frequency treatment is proposed. The combination PLA+Steel is used and the proposed geometry is shown in Figure 11a. The periodicity constant is 10 cm and the mass addition is 150% of the host plate. The 50 Hz wide band-gap is created, in the frequency range 160-210 Hz, Figure 11c. Further optimization can be done. For that purpose, the influence of three parameters is additionally investigated: modulus

Oblique STL, 0=60" [48] 10 (Fisquiney Biz)

of elasticity of the spring element, Figure 12a, density of the mass element, Figure 12b and modulus of elasticity of the host plate, Figure 12c in relation to the proposed resonator from Figure 11a.

x ™ Re(kalz)

a) b)

SS {a0} 798tH {80} 798(H2)

Re(kalx)

c) Figure 11: Materialized resonator for gypsum plate h=9.5mm targeting the low frequency region,

dispersion diagrams for b) bare plate and c) plate with resonators.

2%, (A) 138(H2) {6} 160(H2) [c) 161(H2} > = SP {D) 377(Hz} [E] 410[Hz] (F] 798[Hz]

8 8 gee é [2H] Aouenbess 8 10' 10° ae EVE

a) b) c) Figure 12: Change of the band gap width due to the change of several parameters of the proposed resonator form Figure 11: a) variation of the modulus of elasticity of the spring element, b) variation

of the density of the mass element, c) variation of the modulus of elasticity of the host plate.

Frequency [Hz] a8 8 8 8 Ey & 10° pila

EVE 2 8 2 [2H] Aouenbasy

The main drawback of the concept of implementing periodic tuned resonators is that the positive effect is in the narrow frequency region. One possible improvement is to introduce two or more resonators in one unit cell that have slightly different resonant frequencies, that can create two or more consecutive peaks in the STL curve, Figure 13.

Figure 13: Two mass-spring resonators in one unite cell for GP.

5. CONCLUSIONS

With introduction of periodic, carefully designed resonators to a lightweight partition, improvements of the sound insulation in the specific frequency regions can be obtained. Steel-PLA resonators can be one possible solution for materialization. By tunning the dynamic behavior of the resonant units, a favorable interaction between resonators and bending wave in host plate is possible, resulting in band gap creation. For more precise investigation, coupled structure-fluid FEM model is created for oblique sound incidence, which confirms the good sound insulation behavior of the metamaterial plate in specific frequency region. The proposed resonators can be used for vibro-acoustic purposes.

There are some drawbacks of using this concept for noise treatment: the effectiveness is only in narrow frequency range; if the design of the resonant units is not precise, significant dips may occur; this concept implies complicated geometries, etc. However, recent advances in technology are paving the way for precise complex and smarter solutions. Also, the knowledge of this kind of structures is increasing due to the intensive research in this area which makes the design process easier.

6. REFERENCES

1. G. Ma, P. Sheng: Acoustic metamaterials: From local resonances to broad horizons, Science

Advances, 2(2), e1501595, 2016, doi: 10.1126/sciadv.1501595. 2. J. Liu, H. Guo, T. Wang: A Review of Acoustic Metamaterials and Phononic Crystals, Crystals,

10, 305, 2020, doi: 10.3390/cryst10040305. 3. S. Kumar, H. P. Lee: The Present and Future Role of Acoustic Metamaterials for Architectural

and Urban Noise Mitigations, Acoustics, 1(3), 590-607, 2019, doi.org/10.3390/acoustics1030035 4. Z. Liu, X. Zhang, Y. Mao, Y. Y. Zhu, Z. Yang, C. T. Chan, P. Sheng: Locally Resonant Sonic

Materials, Science, 289, 17341736, 2000, doi:10.1126/science.289.5485.1734. 5. B. Assouar, M. Oudich, X. Zhou: Acoustic metamaterials for sound mitigation, Comptes Rendus

Physique, 17(5), 524-532, 2016, doi.org/10.1016/j.crhy.2016.02.002. 6. Y. Xiao, J. Wen, X. Wen: Sound transmission loss of metamaterial-based thin plates with multiple

subwavelength arrays of attached resonators, Journal of Sound and Vibration, 331(25), 5408- 5423, 2012, doi.org/10.1016/j.jsv.2012.07.016. 7. M. Oudich, X. Zhou, M. B. Assouar: General analytical approach for sound transmission loss

analysis through a thick metamaterial plate, Journal of applied physics, 116, 193509, 2014.

TMM GP TMM GPFRES 22700 He 10? 10° Fiencency#ke)

8. M. Jovanoska, L. Godinho, P. Amado-Mendes, P. H. Mareze, M. Pereira, E. Ramis Claver:

Overcoming the Coincidence Effect of a Single Panel by Introducing and Tuning Locally Resonant Structures, Internoise 2019, Madrid. 9. Amado-Mendes, P., Godinho, L., Baio Dias, A., Amaral, P., Pinho, N., A numerical study on the

behavior of partition panels with micro-resonator-type metamaterials, TecniAcustica, 2018. 10. N. G. R. De Melo Filho, L. Van Belle, C. Claeys, E. Deckers, W. Desmet: Dynamic mass based

sound transmission loss prediction of vibroacoustic metamaterial double panels applied to the mass-air-mass resonance, Journal of Sound and Vibration, 442, 2844, 2019, doi: 10.1016/j.jsv.2018.10.047. 11. N. G. R. De Melo Filho, C. Claeys, E. Deckers, W. Desmet: Metamaterial foam core sandwich

panel designed to attenuate the mass-spring-mass resonance sound transmission loss dip, Mechanical Systems and Signal Processing, 139, 106624, 2020, doi: 10.1016/j.ymssp.2020.106624. 12. A. Hall, G. Dodd, E. Calius: Diffuse field measurements of Locally resonant partitions, Acoustics:

Sound, Science and Society, 2017, Perth. 13. Z. Liu, R. Rumpler, L. Feng: Investigation of the sound transmission through a locally resonant

metamaterial cylindrical shell in the ring frequency region, Journal of Applied Physics, 125, 2019. 14. Z. Yang, H. M. Dai, N. H. Chan, G. C. Ma, P. Sheng: Acoustic metamaterial panels for sound

attenuation in the 50–1000 Hz regime, Applied Physics Letters, 96(4), 041906, 2010. 15. Y. Ye, X. Wang, T. Chen, Y. Chen: Step-by-step structural design methods for adjustable low-

frequency sound insulation based on infinite plate-type acoustic metamaterial panel, Modern Physics Letters B, 2050220, 2020, doi: 10.1142/S0217984920502206. 16. H. Zhang, S. Chen, Z. Liu, Y. Song, Y. Xiao: Light-weight large-scale tunable metamaterial panel

for low-frequency sound insulation, Applied Physics Express, 13, 067003, 2020. 17. J. F. Allard, N. Atalla: Propagation of Sound in Porous Media, 2009, Wiley, ISBN 978-0-470-

746615-0. 18. Y. M. Kuo, H. J. Lin, C. N. Wang: Sound transmission across orthotropic laminates with a 3D

model, Applied Acoustics, 69 (2008) 951–959, 2007, doi:10.1016/j.apacoust.2007.08.002. 19. C. Huang, S. Nutt: Sound transmission prediction by 3-D elasticity theory, Applied Acoustics,

70, 730-736, 2009, doi: 10.1016/j.apacoust.2008.09.003. 20. C. Claeys, P. Sas, W. Desmet: On the acoustic radiation efficiency of local resonance based stop

band materials, Journal of Sound and Vibration, Volume 333, Issue 14, 7 July 2014, Pages 3203- 3213, doi: 10.1016/j.jsv.2014.03.019. 21. C. Claeys, E. Deckers, B. Pluymers, W. Desmet: A lightweight vibro-acoustic metamaterial

demonstrator: Numerical and experimental investigation, Mechanical Systems and Signal Processing, Volumes 70–71, March 2016, Pages 853-880, doi: 10.1016/j.ymssp.2015.08.029.