Welcome to the new IOA website! Please reset your password to access your account.

Dilatation wave velocities estimated from the plateau in sound insula- tion of cross-laminated timber (CLT) plates Claire Churchill 1 TU Wien Institute of Material Technology, Building Physics, and Building Ecology, TU Wien, Karlsplatz 13, 1040 Wien, Austria Bernd Nusser 2 Holzforschung Austria Franz Grill-Strasse 7, 1030 Wien, Austria Christian Lux 3 Holzforschung Austria Franz Grill-Strasse 7, 1030 Wien, Austria

ABSTRACT There are four inherent problems when predicting the airborne sound insulation of cross-laminated timber (CLT) plates. (1) The internal loss factor of wood products is high and therefore difficult to measure using the structural reverberation time technique. (2) Solid wood is a low-density building material compared to reinforced concrete or masonry construction. (3) Timber is orthotropic. (4) Orthotropic material properties include low shear moduli. CLT plates, similarly to thick masonry or concrete plates, exhibit thick plate characteristics in the high frequency range (f>1600Hz). The high frequency sound insulation data of nine plates is examined. Transitions to a thick plate seem to occur in all measurements. However, a clearly observable plateau is only visible for six of the nine plates. Simple methods are applied to extract information about the CLT plates from this high frequency (f>1600Hz) measured data. The data extracted from the plate is compared to t ypical values for equiv- alent isotropic plates, where the elastic modulus is assumed to be 𝐸 ௜௦௢ = ඥ𝐸 ௫ 𝐸 ௬ . The results are discussed in the context of laboratory measurement of sound insulation.

1. INTRODUCTION

Timber is a highly versatile building material which can be applied in a variety of ways in building structures. Soft wood is highly orthotropic which can be exploited in different product assemblies to produce building materials and products with high strength and low mass characteristics. Solid soft- wood products are particularly interesting because, like concrete and masonry construction, they ex- hibit a transition to thick plate characteristics within the building acoustics range. The building acous- tic range is 50-5000Hz. This paper focuses on timber plate products, in this case cross-laminated

1 Claire.Churchill@tuwien.ac.at

2 B.Nusser@holzforschung.at

3 C.Lux@ holzforschung.at

i, orn inter.noise 21-24 AUGUST SCOTTISH EVENT CAMPUS ? O? ? GLASGOW

i, orn inter.noise 21-24 AUGUST SCOTTISH EVENT CAMPUS ? O? ? GLASGOW

timber CLT, and describes an empirical investigation into the transition to thick plate characteristics. The low shear moduli of wood generally means that a plateau can be observed in the high frequency (f>1600Hz) sound insulation.

There are several empirical formulae which can be used to describe sound insulation as the plate transitions to a thick plate. These are generally accepted as providing appropriate rules of thumb for assessing isotropic materials. The thick plate characteristics of concrete and masonry construction occur at high frequencies, where a high degree of sound insulation is already achieved, so the high frequencies may be considered as less important to achieve good sound insulation in a building. How- ever, the high frequency characteristics provide insight into the material properties, which are vital to understand how the material behaves across the whole frequency range (50Hz-5000Hz). The suc- cessful application of the isotropic empirical formulae to orthotropic plates such as CLT is yet to be established.

Ideal orthotropic materials exhibit material symmetry with only two independent Young’s moduli and two independent shear moduli (see Figure 1). Where the Young’s moduli in the three-dimensional material directions are given by E x , E y and E z . The shear moduli are given by G xy , G xz and G yz . Finally, the Poisson’s ratios are ν xy , ν yx , v xz , ν zx , ν yz , ν zy . The material symmetry reveals seven independent constants which can be explored to understand the performance of the material as the transition to a thick plate occurs.

y

σ z

x

E x = E z

z

τ xy

ν xy = ν yz

σ x

τ yz

G xy = G yz

Figure 1: The orientation and symmetry of the fibres in a specially orthotropic laminate [1].

2. THEORY

2.1. Thin isotropic plates

The dilatational phase velocity is given by [2]:

ఒାଶఓ

𝑐 ஽,௜௦௢ = ට

ఘ , (1)

where ρ is the density. To apply the well-known isotropic equations to an orthotropic plate an effec- ti ve iso tropic elastic modulus must be determined, this is assumed to be the geometric mean 𝐸 ௜௦௢ = ඥ 𝐸 ௫ 𝐸 ௬ of the orthotropic Young’s moduli in the x- and y- directions.

The relationship between the Lamé constants λ , μ and the Young’s modulus E iso is given by.

This describes dilatation within the plane of the plate. An isotropic three-dimensional material has the same properties in all three directions.

2.2. Thin orthotropic plates

The dilatational phase velocity is given in the x- and y- directions by:

ఒ భ ାଶఓ

𝑐 ஽,௫ = ට

ఘ , (5)

ఒ మ ାଶఓ

𝑐 ஽,௬ = ට

ఘ , (6)

The relationships between the Lamé constants λ 1 , λ 2 and the Young’s moduli E x , and E y are de- scribed below. Similar to the isotropic plate, the shear constant is G= μ .

ா ೣ ଵିఔ ೣ೤ ఔ ೤ೣ , (7)

𝜆 ଵ + 2𝜇=

ா ೤ ଵିఔ ೣ೤ ఔ ೤ೣ , (8)

𝜆 ଶ + 2𝜇=

Note that this is a description solely of dilatation within the plane of the plate. As the plate model transitions to a thick plate, the material properties describing out-of-plane dilatation (in the z- direc- tion) are similar to those in the x-direction (or y-direction) in accordance with the three-dimensional symmetry of the material (Figure 1).

i, orn inter.noise 21-24 AUGUST SCOTTISH EVENT CAMPUS ? O? ? GLASGOW

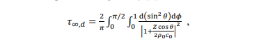
2.3. Thin plate model The thin plate model is an infinite plate model given by [2]:

where τ ∞,d is the diffuse incidence transmission coefficient, integrated over all angles of incidence ( 𝜙, 𝜃 ), ρ 0 is the density of air, and c 0 is the speed of sound in air. The sound insulation is calculated according to:

ఛ ಮ,೏ , (10)

𝑅= −10𝑙𝑜𝑔

The surface impedance, Z, of a thin isotropic plate is given by [2]:

௞ ర ୱ୧୬ ర ఏ

ర ൨ , (11)

𝑍= 𝑖𝜔𝜌 ୱ ൤1 −

௞ ಳ

Where k B =( ω 2 ρ s / B ) 1/4 is the bending wavenumber, ω is the angular frequency, ρ s is the surface density of the plate, B = E iso h 3 /(12(1- ν 2 )) is the bending stiffness of the material calculated from the equivalent isotropic modulus. The estimated internal loss factor, η , is used to determine the complex bending stiffness B p = B ( 1+iη ).

2.4. Thickness modes and the thin plate limit

A thick plate model is indicated if a plateau occurs in the sound insulation at high frequencies f > 4 f B(thin) . If the thin plate limit, f B(thin) , for an isotropic plate is defined as a difference in phase velocity of >10% and assuming a Poisson ratio between 0.2 and 0.3 this can be estimated by [2].

଴.଴ହ௖ ಽ,೛

𝑓 ୆,୲୦୧୬ ≈

௛ , (12)

where c L,p is the longitudinal phase velocity of the isotropic material and h is the thickness of the plate. In an isotropic material the longitudinal phase velocity is different in the different material directions to avoid the misapplication of Eq. (12), 4 f B(thin) was instead estimated using the crossover frequency between the calculated thin plate sound insulation and the calculated or measured plateau

𝑅 ୲୦୧୬୮୪ୟ୲ୣ = 𝑅 ୮୪ୟ୲ୣୟ୳ , (13)

The plateau is estimated according to [2]:

i, orn inter.noise 21-24 AUGUST SCOTTISH EVENT CAMPUS ? O? ? GLASGOW

ఘఊ௖ ವ ସఘ బ ௖ బ ቁ+ 10𝑙𝑔ቀ

ఎ ౟౤౪ ଴.଴ଶ ቁ , (14)

𝑅 ୮୪ୟ୲ୣୟ୳ = 20𝑙𝑔ቀ

where γ, is an additional empirical correction factor which has been introduced for this work ( c D,iso = γc D ). This factor is described in more detail in section 4.1. The plateau in sound insulation data was also used to back-calculate the dilatational phase velocity. Normally γ =1 and the back calculation can be made according to:

ആ ౟౤౪ బ.బమ ቁ൰ , (15)

൬ோ ౦ౢ౗౪౛౗౫ ଶ଴ ⁄ ି భ

మ ௟௚ቀ

ସఘ బ ௖ బ

𝑐 ஽ =

ఘ 10

The estimate of the internal loss factor for timber was taken from the literature. The expected mode frequencies for the thickness modes can also be calculated:

௥௖ ವ

ଶ௛ , (16)

𝑓 ୰ =

where r is an integer. Thickness modes manifest as dips in the sound insulation as the plate transitions to a thick plate model. Substituting c D = c D,iso (the isotropic estimation, Eq. (1)) calculated f 1 is greater than 5000Hz for all plates. Plates 4, 5 and 8 (see also Figure 2) show dips in the sound insulation at very high frequencies ( f >3150Hz), which could be thickness modes. However, it’s more difficult to match the measured dips with calculated thickness modes in the orthotropic case. The aim of the work was to determine an empirical correction factor, γ , for cross-laminated plates to appropriately estimate the plateau in sound insulation. The data extracted from the back calculation was compare d to ty pical values for equivalent isotropic plates, where the elastic modulus is assumed to be 𝐸 ௜௦௢ = ඥ𝐸 ௫ 𝐸 ௬ . The correction factor was then used to determine the plateau, R plateau , for plates where a plateau was not clearly observable within the building acoustics range (50-5000Hz). 3. METHODOLOGY

The sound insulation of ten cross-laminated timber plates from five different manufacturers were measured in three different transmission suites. In some cases, several repeat measurements were made to obtain a mean sound insulation. Measurements were made in accordance with EN ISO 10140 [3]. The plateau in sound insulation was determined by calculating the mean of the high frequency measurements. The number of high frequency measurements used to determine the mean was a sub- jective judgement made on a case-by-case basis. The dilatational wavespeed was back-calculated from the plateau using Eq. (15). For seven of the plates a clear plateau was observed.

An e quivalent isotropic modulus was calculated for these plates using the geometric mean 𝐸 ௜௦௢ = ඥ 𝐸 ௫ 𝐸 ௬ of the orthotropic Young’s moduli in the x- and y directions, and an empirical correction γ = c D,iso / c D was determined. For one of the plates the thickness was ambiguously recorded so only six plates were used to determine the mean correction factor, γ . The empirical correction factor was then applied to the remaining three plates for which no clear plateau was recorded. The resulting plateau was summed with the thin plate model and assessed to see if this would improve the sound insulation prediction.

i, orn inter.noise 21-24 AUGUST SCOTTISH EVENT CAMPUS ? O? ? GLASGOW

i, orn inter.noise 21-24 AUGUST SCOTTISH EVENT CAMPUS ? O? ? GLASGOW

4. RESULTS

4.1. Empirical correction factor, γ

The calculated equivalent Young’s moduli of the plates, determined from the plate geometry and material constants of wood, the plate thicknesses, plateau in sound insulation ( R plateau ), and number of measurements used to determine the plateau are shown in Table 1 . The back-calculated dilatational wavespeed and the empirical correction factor for each plate are also shown. The mean value of the empirical correction factor is γ =1.92±0.13. Table 1: Plate properties

Plate Manu- facturer

E eq,x (Nm -2 )

E eq,y (Nm -2 )

h (m)

R plateau (dB)

Number of measure- ments (-)

c D (ms -1 )

c D,iso / c D (-) 1 A 3.23x10 9 9.17x10 9 0.080 n/a n/a - - 2 B 2.00x10 9 1.30x10 10 0.072 n/a n/a - - 3 B 1.19x10 9 1.38x10 10 0.094 50.1 3 2294 1.43 4 B 2.44x10 9 1.26x10 10 0.128 49.0 5 2018 1.90 5 B 3.76x10 9 1.13x10 10 0.158 49.3 5 2079 1.99 6 C 1.04x10 9 1.40x10 10 0.090 n/a n/a - - 7 D - - - 48.0 4 1789 - 8 D 1.58x10 9 1.34x10 10 0.140 46.2 6 1450 2.41 9 D 4.60x10 9 1.04x10 10 0.120 49.5 3 2125 2.01 10 E 1.42x10 9 1.36x10 10 0.100 48.7 4 1934 1.76

4.2. Accuracy of the thin plate model and the thin plate limit

Typical results for a plate with and without a clear plateau (plates 8 and 1 respectively), are shown in Figure 2. The plateau calculated using c D,iso is also shown in both cases. In Figure 2(b) the mean plateau is also plotted.

(a) (b)

Sound reduction index (dB)

Sound reduction index (dB)

Figure 2: The thin plate model compared with the measured results at high frequencies (≥1600Hz) (a) Plate without a clear plateau (plate 1). (b) Plate with a clear plateau (plate 8).

The sum of the squared differences between measurement and model for plates 3-5 and 8-10 which all have clear plateaus are shown in Table 2 and Table 3. Table 2 shows the differences when the measured results are compared with the thin plate model only and Table 3 shows the differences when the results are compared with the combined thin plate model and plateau data. Simply adding the measured plateau to the thin plate model significantly improves the thin plate model prediction. Table 2: Sum of squared differences - Thin plate

Plate 1000Hz 1250Hz 1600Hz 2000Hz 2500Hz 3150Hz 4000Hz 5000Hz 3 0.86 1.56 0.064 1.32 1.01 2.21 4.30 7.00 4 2.03 1.90 2.87 3.55 4.23 5.62 9.11 14.20 5 2.02 2.69 4.06 4.94 5.82 8.31 15.00 16.79 8 3.73 4.31 4.50 4.88 6.47 8.77 14.46 17.86 9 3.95 5.36 5.37 6.19 6.91 7.79 8.83 12.02 10 1.63 0.82 0.91 1.92 2.48 3.70 6.74 8.96 Table 3: Sum of squared differences - Thin plate with plateau

Plate 1000Hz 1250Hz 1600Hz 2000Hz 2500Hz 3150Hz 4000Hz 5000Hz 3 1.05 1.93 0.81 0.019 1.30 1.60 1.57 1.18 4 1.32 0.61 0.53 0.23 1.45 2.42 1.66 0.72 5 0.75 0.48 0.31 0.70 2.09 2.22 1.58 0.58 8 2.25 1.79 0.28 1.34 2.10 2.50 0.28 0.86 9 3.34 4.25 3.32 2.83 1.78 0.39 1.23 0.72 10 1.29 0.18 0.33 0.23 1.03 1.72 1.08 1.40

The thin plate limits estimated from the plateau in sound insulation (Eq. (13)) are shown in Table 4. The results indicate a transition from thin to thick plate occurring within the building acoustics range (50-5000Hz).

Table 4: Thin plate limit.

Model Thin plate limit f thin (Hz) Plate 1 843 Plate 2 944 Plate 3 710 Plate 4 450 Plate 5 362 Plate 6 725 Plate 7 --- Plate 8 342 Plate 9 478 Plate 10 582

i, orn inter.noise 21-24 AUGUST SCOTTISH EVENT CAMPUS ? O? ? GLASGOW

4.3. Accuracy of the empirical correction factor, γ

Typical results for a plate without a clear plateau, in this case plate 1, are shown in Figure 2(a). In this case R plateau calculated using the empirical correction factor, γ is also plotted. The γ factor was applied to determine the plateau in sound insulation using Eq. (14) for plates 1, 2 and 6 which do not exhibit a clear plateau within the building acoustics range (50-5000Hz). This results in an improved prediction compared to Eq. (14). The sum of the squared differences for plates 1, 2, and 6 is shown in Table 5 and Table 6. The thin plate model with the empirical plateau indicated by the multiplying factor, γ is better at predicting the sound insulation at high frequencies. Table 5: Sum of squared differences - Thin plate with plateau using c D,iso

Plate 1000Hz 1250Hz 1600Hz 2000Hz 2500Hz 3150Hz 4000Hz 5000Hz 1 4.10 4.09 3.63 3.51 3.99 3.68 4.32 4.49 2 0.085 0.35 1.08 1.96 1.68 1.95 2.96 2.74 6 1.34 0.12 0.010 1.44 2.70 2.56 2.31 2.97 Table 6: Sum of squared differences - Thin plate with plateau using c D

Plate 1000Hz 1250Hz 1600Hz 2000Hz 2500Hz 3150Hz 4000Hz 5000Hz 1 4.02 3.93 3.31 2.92 2.95 1.95 1.67 0.94 2 0.024 0.23 0.84 1.52 0.89 0.59 0.76 0.35 6 1.21 0.13 0.39 0.56 1.22 0.25 0.96 1.12 5. CONCLUSIONS

If an isotropic model is used to model cross-laminated timber, the plateau in sound insulation when using well-known models will be overestimated. Applying a simple correction factor γ≈2.0 to the dilatational wavespeed improves the estimate of the plateau in sound insulation when using an iso- tropic elastic modulus E iso =√E x,eq E y,eq . However, note that this correction factor was determined from relatively few (i.e. six) plates. The plateau of more CLT plates should be examined to see if this correction is more widely applicable. Measurements could also be extended above the usual building acoustics range (>5000Hz) where the laboratories have the capacity to do so. Whether this empirical correction factor is applicable to other orthotropic plates is also uncertain. 6. ACKNOWLEDGEMENTS

The support of the following companies and laboratories is gratefully acknowledged: Holzforschung Austria (HFA) provided data for plates 2 to 9; this data has been anonymised for publication. The sound insulation of plate 1 was carried out at the Swiss Federal Laboratories for Materials Science and Technology (EMPA); this CLT plate was provided by Schuler AG. 7. REFERENCES

[1] Jones RM. Mechanics of composite materials. (Second edition) ed. New York: Taylor & Francis. ; 1999. [2] Hopkins C. Sound Insulation. First ed: Butterworth-Heinemann, Oxford, UK, Burlington, USA; 2007. [3] EN ISO 10140 Acoustics — Laboratory measurement of sound insulation of building elements,. CEN, ISO; 2016.

i, orn inter.noise 21-24 AUGUST SCOTTISH EVENT CAMPUS ? O? ? GLASGOW