Welcome to the new IOA website! Please reset your password to access your account.

Relationship between vortex shedding noise and remotely-sensed surface pressure fluctuations of a structured porous-coated cylinder

Reza Maryami 1 , Elias J. G. Arcondoulis 2 , Chenghao Yang 3 , Yu Liu 4

Department of Mechanics and Aerospace Engineering, Southern University of Science and Technology, Shenzhen, Guangdong Province, 518055, P. R. China

ABSTRACT Tonal noise suppression of a cylinder placed in uniform flow has been achieved, to some extent, by coating it with a structured porous material as a form of passive flow and noise control. A structured porous-coated cylinder (SPCC) was investigated in an anechoic wind tunnel to determine the relationship between the far-field vortex shedding noise and the pressure recorded on the outer porous surface. To date, no experimental studies have been conducted on the surface pressure of any type of porous-coated cylinder. Acoustic measurements were carried out using a far-field microphone and simultaneously unsteady surface pressure fluctuations were obtained around the cylinder mid-span circumference using remote-sensing techniques. By obtaining simultaneous time- dependent signals, more light is shed on the underlying noise-reduction mechanism of the structured porous-coated cylinder. The pressure distribution results demonstrated a delay in the boundary layer separation in the case of the SPCC compared to the bare cylinder. The far-field noise measurement results showed that significant noise reduction can be achieved by the use of an SPCC. The surface pressure results and directivity pattern of the tonal noise level have also shown that substantial noise reduction can be achieved with the applications of the SPCC. In this paper, strong relationships between surface pressures and acoustic signals were revealed at the vortex shedding frequency in the case of the bare cylinder, while it was insignificant for the SPCC, signifying the strong role of the structured porous media in suppression of the surface pressure energy content.

1. INTRODUCTION

It is well known when a circular cylinder is exposed to oncoming flow, at the critical value of the Reynolds number, vortex shedding occurs in the wake, resulting in serious acoustics noise and a significant increase in unsteady forces acting on the cylinder. The onset of vortex shedding and its frequency can be shifted and even suppressed by various techniques classified under two main categories, namely passive and active methods. Due to the high interest in the use of passive systems, di ff erent passive methods, such as O-rings [1], hairy flaps [2], longitudinal groove [3], and porous

1 Postdoctoral Research Associate, r.maryami@sustech.edu.cn

2 Research Assistant Professor, elias@sustech.edu.cn

3 Research Assistant, ngyangchenghao@163.com

4 Associate Professor, liuy@sustech.edu.cn

a slaty. inter.noise 21-24 AUGUST SCOTTISH EVENT CAMPUS O ¥, ? GLASGOW

treatments [4–12] have been examined over the years for improving the aerodynamic performance of blu ff bodies or suppress vortex shedding and reduce noise and vibration. The application of porous materials to robust control of flow-induced noise and vibrations, turbulence stabilization, and significant aerodynamic improvement of the blu ff bodies has been achieved considerable attention in a relatively large body of computational and experimental research. Sueki et al. [4] showed via an experiment that the aerodynamic sound reduction is not influenced by hardness and the material type (if they possess the same pores per inch and porosity). In a numerical study, Naito and Fukagata [7] showed that the slip velocity and energy dissipation play a major role in weak the shear and the vorticity near the porous surface. Liu et al. [6] showed that covering the solid surface with metal foam improves the wake to be steady and the vortex shedding frequency is decreased, which are considered the essential reasons for aerodynamic noise reduction. The e ff ect of porous media on the wake of a circular cylinder has also been analyzed by Xia et al. [11] through the results of hot-wire, Particle Image Velocimetry (PIV), and smoke-wire visualization. It was shown that the porous media weakens the lateral oscillation of the vortex shedding and hence the vortex region is shifted further downstream. In a recent experimental study, Geyer [12] also evaluated that the porous materials with low airflow resistivity and high porosity are most e ffi cient for peak energy reduction. In order to provide a deeper insight into the internal flow structure of porous media, structured porous coated cylinder (SPCC) has been designed and validated by Arcondoulis et al. [13, 14]. The structure was similar to the tested randomized porous materials (i.e., metal foam and porous polyurethane ) with similar porosity and Pores Per Inch (PPI) in terms of the tone suppression and frequency shift, but some high-frequency contribution reported at frequencies greater than 2000 Hz. Despite a large number of findings, the optimal porous coating design and the quantity of noise reduction that can be achieved by a porous material are still uncertain. In addition, a lack of high- quality experiments can be felt to investigate the relation between the far-field noise and the near- field flow characteristics. In the present study, an experimental study was carried out to present an explanation of the underlying noise reduction mechanism of an SPCC by measuring surface pressure fluctuations. To do so, the remote-sensing method was used to measure surface pressure fluctuations around the circumference of the SPCC. The current paper is organized as follows: Section 2 describes the experimental setup: the experimental facility, the test rig, and the measurement approach (static pressure, unsteady pressure including far-field and near-field measurements). Analysis of the results and explanation of the underlying mechanism of the far-field noise reduction by the SPCC is also presented in Sec. 3. This is followed by conclusions and some ideas for future work (4).

2. EXPERIMENTAL SET-UP

2.1. Wind tunnel facility and cylinder design The experiments were carried out in a closed-circuit type open-jet anechoic wind tunnel of the Southern University of Science and Technology. The test section area in the anechoic chamber (corresponding to the nozzle exit) has a rectangular cross-section with a width of 600 mm and a height of 550 mm as shown in Fig. 1. The circular cylinder with an outer diameter of D = 64.7 mm and a span length of 550 mm was mounted between the top and bottom laser-cut plates attached to the nozzle exit. According to the coordinate system with an origin located at the mid-span of the cylinder and the streamwise ( x ), the wall-normal ( y ), and the spanwise ( z ) axis, the nozzle exit was located at x = -300 mm. Therefore, the cylinder was placed within the potential core of the nozzle jet flow. To simplify the instrumentation of the model with pressure taps, the circular cylinder was made of three di ff erent parts, consisting of one middle section with pressure instrumentations and two side extension parts. The geometrical description of the cylinder can be observed in Fig. 2. The middle section was coated by a structured porous media with a span length of 7 D = 448 mm to allow the development of a 3-D flow field along the span of the cylinder.

Figure 1: The geometry of the contraction nozzle, end plates, and the experimental setup.

The spanwise coherence length of a bare cylinder changes between 2.8 D and 3 D in the subcritical Reynolds number regime according to [15–18], while for randomized porous-coated cylinders the spanwise coherence length is at least 6 D [9,12]. In the present experimental study, the SPCC has a design similar to that published by [13]. The general schematic of a typical SPCC are provided in Fig. 2. The SPCC possesses three porous layers with a constant porosity of Φ = 81%. The porosity is calculated using Φ = 100 × (1 − V S PCC / V S ) where V S PCC is the volume of the SPCC and V S is the volume of a solid annulus with an inner diameter of d and outer diameter D . The SPCC has a thickness of t = 12.35 mm: thus, the porous coating thickness to the inner cylinder diameter ratio, t / d , is ≈ 0.31, which lies within the range of the thickness to bare cylinder diameter ratio (0.1 to 0.5) for that Reynolds numbers ( Re = 0 . 1 × 10 5 − 2 × 10 5 ) [13].

2.2. Acoustic measurements and Instrumentation Near-field noise measurements were performed using remote-sensing microphone probes, as shown in Fig. 2(b). The cylinder was instrumented with 20 pressure taps which are distributed with non- uniform angular spacing over the circumference of the cylinder at midspan. The angular locations of the pressure taps are summarized in Table 1. As shown in Fig. 3, each remote sensor consists of a microphone-holder assembly and a Panasonic electret condenser pressure transducer (series WM- 61A) attached to a pinhole with a diameter of 0.4 mm. The same type of pressure transducer was previously used in other studies [16, 18, 19] which has been shown to produce reliable pressure data over the frequency range of interest (100 Hz ≤ f ≤ 10 kHz). To account for any possible dampening of the amplitude of the pressure fluctuations and phase delay due to the remote-sensing setup, all remote- sensing microphones were calibrated based on the detailed calibration approach described in Ref. [16]. In order to better understand the flow field around the porous-coated cylinder, the aerodynamic loading of the cylinder was also investigated via the same pressure taps as in the unsteady pressure measurement. Two 16 channel Model 9116 Intelligent Pressure Scanners with a full-scale pressure range from 2.5 kPa to 5200 kPa were used to perform the static pressure measurements. The far-field noise is measured using a Brüel & Kjær (B&K) microphone, as depicted in Fig. 1.

Contraction nozzle ° i] + 1 1 5 1500 mm. & Flow Microphone 6 .| —-, eee ae A e— =I 1 ° & ' ne 1 = = —= Nn 1 800 mm

Figure 2: (a) Schematic diagram of the cylinder coated with structured porous media and (b) the sensing area on the cylinder equipped with pressure ports distributed around the circumference of the cylinder at midspan.

Table 1 : Position of the pressure ports on the middle section at z / D = 0

Pressure ports θ (deg . ) Pressure ports θ (deg . )

1 0 ◦ 11 180 ◦

2 16 . 36 ◦ 12 − 163 . 63 ◦

3 40 . 9 ◦ 13 − 130 . 9 ◦

4 57 . 27 ◦ 14 − 122 . 72 ◦

5 73 . 63 ◦ 15 − 106 . 36 ◦

6 90 ◦ 16 − 90 ◦

7 106 . 36 ◦ 17 − 73 . 63 ◦

8 130 . 9 ◦ 18 − 40 . 9 ◦

9 147 . 27 ◦ 19 − 32 . 72 ◦

10 163 . 63 ◦ 20 − 16 . 36 ◦

The microphone was positioned at an angle of 90 ◦ to the flow and a distance of 1.5 m away from the cylinder axis. Although the far-field microphone is factory calibrated with a known manufacturer sensitivity, in the present study the B&K microphone was calibrated using B&K calibrator 4231 before far-field measurements. The near and far-field noise measurements were acquired simultaneously at a sampling frequency of 51.2 kHz for 10 seconds using two 24-bit synchronized NI PXI-4496 data acquisition cards mounted in a National Instruments PXI-10420 chassis. The power spectral density (PSD) calculations were performed for all the far-field and the surface pressure fluctuation (near-field) data using the pwelch function. To obtain smoother and more accurate results, Hamming windowing with 50% overlap was applied in the data postprocessing.

Middle section Side part (b)

Figure 3: Schematic diagram of the microphone-holder assembly.

3. RESULTS AND DISCUSSION

3.1. Aerodynamic characteristics The distribution of the mean and fluctuating pressure field around the bare cylinder and SPCC are presented in Fig. 4 for Re = 0 . 52 × 10 5 . Generally, a quasi-symmetric distribution on the top and bottom sides of the cylinder can be seen for the mean surface pressure coe ffi cient. In the case of the bare cylinder, it can be seen that the minimum pressure occurs near θ ≈ 65 ◦ on the top half of the cylinder, and on the other side of the cylinder reaches its minimum at about θ ≈ 294 ◦ .

Figure 4: Mean and RMS pressure coe ffi cient distribution around the circumference of the SPCC and the bare cylinder.

For the SPCC, the minimum pressure coe ffi cient shows deep depression and shifts to the angular positions of θ ≈ 81 ◦ and ≈ 278 ◦ on each side of the cylinder, respectively. The oncoming airflow would separate from the bare cylinder at the peripheral locations near θ ≈ 73 ◦ and ≈ 278 ◦ , which is consistent with results in Refs. [20–23] for Re ≈ 0 . 5 × 10 5 . For the SPCC, however, the boundary layer separation occurs on the leeward side of the cylinder at the angular locations of θ ≈ 98 ◦ and ≈ 261 ◦ ,

Microphone Pinhole 0.4 mm Brass tube

respectively, on the top and bottom half of the cylinder, signifying the delay in the boundary layer separation and the widened wake region downstream of the SPCC. In the base region, the deviation of the pressure coe ffi cient for the bare cylinder case can be seen with respect to the base pressure coe ffi cient C p b (i.e., pressure coe ffi cient at θ = 180 ◦ ), which is similar to the base pressure values reported in Refs. [20,22]. In contrast, the base pressure coe ffi cient in the case of the SPCC is almost constant. The di ff erence between the base regions in both the bare cylinder and SPCC shows a less negative pressure coe ffi cient in the case of the SPCC, which is due to the entering the flow into the SPCC and the decreasing curvature of the free streamline. The C p rms results, moreover, show slightly asymmetric distributions around the both bare cylinder and the SPCC. By inspecting in Fig. 4, the peak values on the top side of the cylinder are higher than on the bottom side of the cylinder. The SPCC produces a lower C p rms compared to the bare cylinder, which indicating that the surface pressure fluctuations have a lower energy content than the bare cylinder. The C p rms -distribution also shows a maximum in magnitude around the boundary layer separation point θ ≈ 73 ◦ and θ ≈ 98 ◦ , respectively for the bare cylinder and the SPCC.

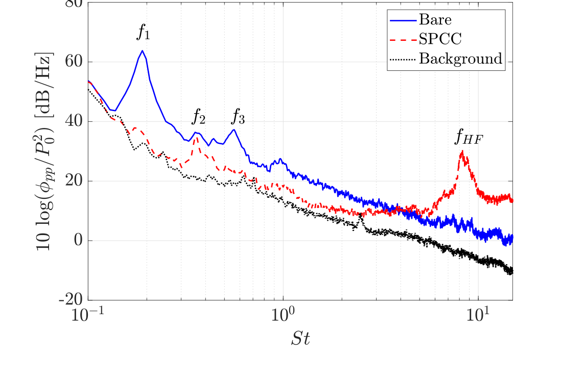
3.2. Far-field spectral levels Figure 5 presents the acoustic PSD of the bare cylinder and the SPCC as a function of the Strouhal number ( S t = f D / U ∞ ) for Re = 0 . 52 × 10 5 . The bare cylinder exhibits the typical vortex shedding tone of a bare cylinder ( S t = 0 . 189), consistent with the published Strouhal number for that Reynolds number [15]. It can be seen that the structured porous coating causes a significant reduction of the vortex shedding tone produced by the bare cylinder. The emergence of two tones can also be seen in acoustic PSD of the SPCC, namely a lower frequency tone with a magnitude within 37.7 dB near the fundamental vortex shedding tone of the bare cylinder ( f 1 = f 0 ) and a tone with a frequency twice the lower tone frequency. Typically, the high-frequency tone would be recognized as the second harmonic of the shedding tone ( f 2 = 2 f 0 ); however, its magnitude exceeds the shedding tone magnitude. At higher Strouhal numbers, centered about S t ≈ 8, a strong broadband contribution relative to the bare cylinder can be observed, which is herein referred to as the high frequency ( f HF )-noise (previously observed and referred to as the HF-Band [10, 14]). It seems that the noise produced by the SPCC at the high frequencies is partly due to the small-scale instabilities generated in separated boundary layers immediately downstream of each solid component of the SPCC.

Figure 5: Far-field noise spectra at a distance of 1.5 m and 90 ◦ to the flow.

3.3. Near-field spectral levels To gain further insight into the noise generation mechanism of the bare cylinder and SPCC, the near-field unsteady pressure spectra are presented in Fig. 6 for the peripheral locations θ = 0 ◦ , 40 . 9 ◦ , 90 ◦ , 130 . 9 ◦ , and 180 ◦ at Re = 0 . 52 × 10 5 . It can be seen that the bare cylinder typically displays the broadband spectral content at θ = 0 ◦ . However, a weak fundamental vortex shedding tone ( f 1 ) and second harmonic ( f 2 ), at S t = 0.189 and 0.353, respectively, are observed with small amplitude. Away from the stagnation point at θ = 40 . 9 ◦ , the emergence of the f 1 -tone and third harmonic ( f 3 = 3 f 0 ) are observed in Fig. 6(b). Further away from the stagnation point at θ = 90 ◦ and 130 . 9 ◦ , a similar trend to θ = 40 . 9 ◦ is observed in terms of the presence of the f 1 -tone. Further downstream at θ = 180 ◦ , the fundamental vortex shedding tone disappears completely, whereas the f 2 -tone remains as a strong tonal peak. By considering the unsteady surface pressure spectra from θ = 0 ◦ to 180 ◦ , it can be seen that the f 3 -tone is only present at θ = 40 . 9 ◦ . In the post reparation region, i.e., at θ = 90 ◦ , 130 . 9 ◦ , and 180 ◦ , a significant reduction in energy content of both the tonal and broadband components can be observed in the case of the SPCC. In the pre-separation region ( θ = 0 ◦ and 40 . 9 ◦ ), however, a broadband high energy content relative to the bare cylinder can be found within S t > 0 . 4. The SPCC possesses the vortex shedding tones at the fundamental frequency ( f 1 ) and second harmonic ( f 2 ) with magnitudes that change with the angular position of the pressure ports. By observation of Fig. 6, the SPCC exhibits the increased high-frequency noise contributions at Strouhal numbers near S t ≈ 8 at all pressure ports locations, except θ = 90 ◦ . The results show that the amplitude of the high-frequency noise ( f HF ) decreases with the angular position of the pressure ports between θ = 0 ◦

0 = 130.9° (ec) @=180°

and 90 ◦ and then the f HF -amplitude increases for θ > 90 ◦ .

8(dpp/P5) [4B/Hz] 140 120 100 80 60) °° 40 |" (6) 6 = 40.9° () @=90°

Figure 6: Near-field unsteady surface pressure spectra measured at di ff erent angular positions.

In order to gain a better understanding of the surface pressure PSD variation around the circumference of the bare cylinder and the SPCC, the amplitude of the fundamental tone ( f 1 ), second harmonic ( f 2 ), and high frequency ( f HF )-noise are presented in Fig. 7. In general, an almost symmetric distribution can be seen for the surface pressure PSD level at the tonal frequencies ( f 1 and f 2 ) with respect to the centerline, which is consistent with the expected pressure distribution around a cylinder [24]. The results in the case of the bare cylinder show that the amplitude of the fundamental peak increases with the angular position of the pressure ports between θ = 0 ◦ − 90 ◦

10° 10! 10°! 10° 10! St St

and then decreases for θ > 90 ◦ to disappear completely at θ = 180 ◦ as earlier observed in Fig. 6(e). The same trend can also be seen on the bottom half side of the bare cylinder for the f 1 -amplitude. In the case of the SPCC, a similar trend to the bare cylinder is observed in terms of the peak value variation of the fundamental tone around the cylinder. However, the f 1 -tone for the SPCC reaches the maximum value around the θ ≈ 98 ◦ and then goes down to be zero in amplitude at θ = 180 ◦ (see Fig. 6(e)). For the second harmonic ( f 2 ), the magnitude of the tone increases uniformly between 0 ◦ ≤ θ ≥ 180 ◦ in both the bare cylinder and SPCC cases. This indicates that the fundamental tone

10 la 10° 10! 10-7 10! 10-1 St

Figure 7: Directivity for the di ff erent configurations at fundamental tone (a), second harmonic (b), and high frequency ( f HF )-noise (c). Black solid line: Bare cylinder and red dashed line: SPCC. Flow is from right to left.

reaches its peak value near the separation point, while the second harmonic continues to grow into the fully separated flow and peaks at the cylinder base ( θ = 180 ◦ ). For the f HF -noise, in an asymmetric distribution around the SPCC, it can be seen that the amplitude increases away from the stagnation point and peaks around the θ ≈ 68 ◦ and θ ≈ 294 ◦ , respectively on the top and bottom sides of the SPCC, and then decreases to becomes zero in amplitude (quite broadband) around θ = 90 ◦ as earlier shown in Fig. 6(c). The f HF -amplitude increases again for angles beyond the θ = 106 ◦ and reaches an approximate value of 52 dB around the θ = 114 ◦ . The peak value for the f HF then reduces to 39 dB at θ = 180 ◦ . It can be found that the SPCC exhibits a lower amplitude for the tonal peaks compared to the bare cylinder over the whole peripheral locations, whereas f HF amplitude in the case of the SPCC is lower than the bare cylinder only within θ ≈ 81 ◦ − 278 ◦ . To determine the propagating hydrodynamic field and any relationships between the recorded acoustic signals and the identified surface pressure fluctuations, the coherence between the near- field surface pressure sensors and the far-field microphone 90 ◦ to the flow and 1.5 m away from the midspan is carried out. The coherence is calculated using the following equation,

γ 2 p i , p j = | Φ p i p j ( f ) | 2

Φ p i p i ( f ) Φ p j p j ( f ) (1)

where Φ p i p j denotes the cross-spectrum between the near- and far-field pressure signals, respectively p i and p j , and Φ p i p i is the autospectrum of each individual signal. Figure 8 presents the near-to far-field coherence for the remote sensing pressure ports distributed on the top half of the SPCC and the bare cylinder within θ = 0 ◦ − 180 ◦ at Re = 0 . 52 × 10 5 . The bare cylinder in Fig. 8 shows a high coherence level at the f 1 which is consistent with the high f 1 - spectra content previously observed in the near- and far-field PSD measurements (see Figs. 5 and 6). As can be observed, the near to far-field coherence for f 1 is very small at θ = 0 ◦ but increases quickly to ≈ 0 . 7 by θ = 8 ◦ and remains almost constant ( γ 2 p i , p j ≈ 0 . 7) up to θ ≈ 122 ◦ . The f 1 coherence amplitude then reduces gradually to approximately 0.5 at θ = 163 ◦ and ultimately zero at θ = 180 ◦ . The coherence results for the bare cylinder case, moreover, show a rather zero value for the broadband component over the whole frequency range. In the case of the SPCC, as shown in Fig. 8(b), the strong coherence values between the near- and far-field signals can be seen to occur at the vortex shedding tones ( f 1 and f 2 ), regardless of the pressure ports locations. From θ = 0 ◦ to 180 ◦ , the SPCC presents a lower coherence magnitude at the vortex shedding frequency ( f 1 ) than the second harmonic ( f 2 ) where near the stagnation point ( θ = 0 ◦ ) and in the post-separation region ( θ > 90 ◦ ), whereas around the boundary layer transition point within θ ≈ 32 ◦ − 73 ◦ , there is no sign of distinct tone behavior at

f 2 . Furthermore,

2 CC Wi;

Figure 8: Coherence between the far-field microphone at 90 ◦ placed 1.5 m away from the cylinder axis and the near-field sensors distributed within θ = 0 ◦ − 180 ◦ .

coherence values show weak contributions of the f HF -noise that are typically centered about S t ≈ 8. It can therefore be deduced that the f HF -noise is generated by a non-propagating hydrodynamic field and the complex interaction between the porous structure and the freestream flow [10]. Overall, it can be seen that the SPSS coherence levels are significantly lower than the bare cylinder over the entire frequency range, which indicates that applying a structured porous layer to the cylinder surface reduces the energy content of the surface pressure fluctuations. In order to understand the evolution of the flow structures as they travel over the cylinder from the stagnation point to the base of the cylinder in the wake region, the peripheral coherence between the pressure ports distributed around the bare cylinder and the SPCC is presented in Fig. 9. The results in Fig. 9 are presented as a function of the angular distance ( ∆ θ ) and Strouhal number. For the bare cylinder, it can be seen that the coherence with respect to the pressure port at θ = 0 ◦ ( γ 2 p 0 ◦ , p j ) is purely tonal at the fundamental and second harmonic ( f 1 and f 2 ) and is nearly zero at all other frequencies, regardless of the coherence results at ∆ θ = 0 ◦ where the fully peripheral coherence is observed ( γ 2 p 0 ◦ , p j = 1). Away from the stagnation point, the coherence results with respect to the θ = 40 . 9 ◦ , 90 ◦ , and 130 . 9 ◦ , i.e., pre-and post-separation locations, show a strong broadband content, as well as distinct peaks at the fundamental frequency and second harmonics. This, of course, makes sense as the boundary layer and 3-D wake flow structures that play a major role in generating the broadband components only have local e ff ects, while the vortex shedding tonal components can propagate upstream as a strong hydrodynamic field and reach the stagnation point. For the coherence with respect to the pressure signals measured at θ = 180 ◦ ( γ 2 p 180 ◦ , p j ), the bare cylinder exhibits only a weak tonal peak at the second harmonic. In the case of the SPCC, the coherence results γ 2 p 0 ◦ , p j and γ 2 p 180 ◦ , p j show purely tonal component, with the coherence at f 2 much stronger than that at f 1 . For the γ 2 p 40 . 9 ◦ , p j , γ 2 p 90 ◦ , p j , and γ 2 p 130 . 9 ◦ , p j in the case of the SPCC, as presented in Figs. 9(g), 9(h), and 9(i), the coherence characteristics are very similar to the bare cylinder. An exception to this similarity occurs for γ 2 p 40 . 9 ◦ , p j , and as shown in Fig. 9(g), a weak f 1 -tone can be observed. It can be concluded that the vortex formation region in the case of the SPCC moves further downstream in the wake region and the hydrodynamic field as a result of the flow structures in this region is not so strong to reach the windward side of the SPCC.

Bare 0.7 180 135, @ {deg.] s

St 10!

45 10° St 10 0.2 | . : 101 Ali

2 A (©) Woop) Yorso: 9° Pj

Figure 9: Peripheral coherence measured around the circumference of the bare cylinder and the SPCC. (a) Bare cylinder and (b) SPCC.

4. CONCLUSIONS

©) Yusews (2) Your ny _ (d) 50. 180 -40 oe

The present study was concerned with the experimental investigation of SPCC as a means of passive vortex shedding noise control. The performance of the SPCC was first examined from the far-field noise measurements to validate against previous SPCC studies. Subsequently, detailed static surface pressure distribution and unsteady surface pressure fluctuations were acquired by using a highly instrumented cylinder with several pressure taps at di ff erent peripheral locations to shed more light on the underlying noise-reduction mechanism of the structured porous-coated cylinder. The near-field hydrodynamic analysis was obtained using remote-sensing techniques of the fluctuating pressure fields over the structured porous-coated cylinder. The far-field noise measurements were carried out by a microphone perpendicular to the flow and 1.5 m away from the cylinder centerline. The static and RMS pressure results showed that the application of the SPCC leads to a delay in the boundary layer separation point compared to the bare cylinder. The SPCC showed a less negative static pressure coe ffi cient in the base region than the bare cylinder. The near-field measurements accurately captured the characteristic tonal and broadband behavior of the bare cylinder case. The tonal and broadband behaviours were reduced substantially by the use of the SPCC. However, a high broadband contribution relative to the bare cylinder was observed for the SPCC near the boundary layer transition point ( θ ≈ 40 . 9 ◦ ). The directivity pattern of the tonal level showed that the fundamental vortex shedding tone ( f 1 ) reaches the maximum value around the boundary layer separation, whereas the second harmonic ( f 2 ) grows gradually to become maximum at the base of the cylinder ( θ = 180 ◦ ). Far-field noise measurements showed a reduction in the noise level by up to 26 dB for the SPCC relative to the bare cylinder. The near- to far-field coherence results showed a strong relationship between the surface pressure fluctuations and far-field noise at the vortex shedding frequencies in the case of bare cylinder, whereas a low coherence at the tonal spectra was observed for the SPCC configuration. The peripheral coherence revealed that the SPCC reduced the surface pressure fluctuations and confirmed that the vortex formation region moves further downstream compared to the bare cylinder.

ee -180 ‘ 10' 10°! 10° 10! St St

SPCC Aé [deg.| (f) 90 10° St 10! Tot lit 180 140 (9) 135 95 90 50 45 5 10° 130 10+

REFERENCES

[1] Hee-Chang Lim and Sang-Joon Lee. Flow control of a circular cylinder with o-rings. Fluid Dynamics Research , 35(2):107, 2004. [2] Sebastian Kunze and Christoph Brücker. Control of vortex shedding on a circular cylinder using self-adaptive hairy-flaps. Comptes Rendus Mécanique , 340(1-2):41–56, 2012. [3] Hee-Chang Lim and Sang-Joon Lee. Flow control of circular cylinders with longitudinal grooved surfaces. AIAA journal , 40(10):2027–2036, 2002. [4] Takeshi Sueki, Takehisa Takaishi, Mitsuru Ikeda, and Norio Arai. Application of porous material to reduce aerodynamic sound from blu ff bodies. Fluid dynamics research , 42(1):015004, 2010. [5] S Bhattacharyya and AK Singh. Reduction in drag and vortex shedding frequency through porous sheath around a circular cylinder. International Journal for Numerical Methods in Fluids , 65(6):683–698, 2011. [6] Hanru Liu, Jinjia Wei, and Zhiguo Qu. Prediction of aerodynamic noise reduction by using open-cell metal foam. Journal of Sound and Vibration , 331(7):1483–1497, 2012. [7] Hiroshi Naito and Koji Fukagata. Numerical simulation of flow around a circular cylinder having porous surface. Physics of Fluids , 24(11):117102, 2012. [8] Joao Aguiar, Handong Yao, and Yu Liu. Passive flow / noise control of a cylinder using metal foam. In Proceedings of the 23rd international congress on sound and vibration , volume 317, pages 1–8, 2016. [9] Hanru Liu, Mahdi Azarpeyvand, Jinjia Wei, and Zhiguo Qu. Tandem cylinder aerodynamic sound control using porous coating. Journal of Sound and Vibration , 334:190–201, 2015. [10] Elias JG Arcondoulis, Thomas F Geyer, and Yu Liu. An acoustic investigation of non-uniformly structured porous coated cylinders in uniform flow. The Journal of the Acoustical Society of America , 150(2):1231–1242, 2021. [11] Chao Xia, Zheng Wei, Haidong Yuan, Qiliang Li, and Zhigang Yang. Pod analysis of the wake behind a circular cylinder coated with porous media. Journal of Visualization , 21(6):965–985, 2018. [12] Thomas F Geyer. Experimental evaluation of cylinder vortex shedding noise reduction using porous material. Experiments in Fluids , 61(7):1–21, 2020. [13] Elias JG Arcondoulis, Yu Liu, Zhiyong Li, Yannian Yang, and Yong Wang. Structured porous material design for passive flow and noise control of cylinders in uniform flow. Materials , 12(18):2905, 2019. [14] Elias JG Arcondoulis, Thomas F Geyer, and Yu Liu. An investigation of wake flows produced by asymmetrically structured porous coated cylinders. Physics of Fluids , 33(3):037124, 2021. [15] Christo ff er Norberg. Fluctuating lift on a circular cylinder: review and new measurements. Journal of Fluids and Structures , 17(1):57–96, 2003. [16] R Maryami, M Azarpeyvand, AA Dehghan, and A Afshari. An experimental investigation of the surface pressure fluctuations for round cylinders. Journal of Fluids Engineering , 141(6), 2019. [17] Reza Maryami, Syamir Alihan Showkat Ali, Mahdi Azarpeyvand, Abbas Afshari, and A Dehghan. Turbulent flow interaction with a circular cylinder. In Proceedings of the 25th AIAA / CEAS Aeroacoustics Conference , United States, May 2019. American Institute of Aeronautics and Astronautics Inc. (AIAA). [18] Reza Maryami, Syamir Alihan Showkat Ali, Mahdi Azarpeyvand, and Abbas Afshari. Turbulent flow interaction with a circular cylinder. Physics of Fluids , 32(1):015105, 2020. [19] Reza Maryami, Syamir Alihan Showkat Ali, Mahdi Azarpeyvand, Ali Dehghan, and Abbas Afshari. Experimental study of the unsteady aerodynamic loading for a tandem cylinder configuration. In 25th AIAA / CEAS Aeroacoustics Conference , page 2742, 2019.

[20] Arthur Fage and VM Falkner. Further experiments on the flow around a circular cylinder. Technical report, HM Stationery O ffi ce, 1931. [21] Willy Z Sadeh and Daniel B Saharon. Turbulence e ff ect on crossflow around a circular cylinder at subcritical reynolds numbers. Technical report, NASA, 1982. [22] Ffi Gu, JS Wang, XQ Qiao, and Zhen Huang. Pressure distribution, fluctuating forces and vortex shedding behavior of circular cylinder with rotatable splitter plates. Journal of fluids and structures , 28:263–278, 2012. [23] Patrick D Weidman. Wake transition and blockage e ff ects on cylinder base pressures . PhD thesis, California Institute of Technology, 1968. [24] Bernard Etkin, GK Korbacher, and Roger T Keefe. Acoustic radiation from a stationary cylinder in a fluid stream (aeolian tones). The Journal of the Acoustical Society of America , 29(1):30–36, 1957.