Welcome to the new IOA website! Please reset your password to access your account.

DecoWind: Development of low-noise

and cost-effective wind farm control technology

Franck Bertagnolio 1 ; Tomas Hansen 2 ; Lars S. Søndergaard 3 ; Thomas Sørensen 4 ; Andreas Fischer 5 ; Ju Feng 6 ; Camilla Nyborg 7 ; Andrea Vignaroli 8 ; Kurt S. Hansen 9 ; Helge Aa. Madsen 10 ; Alfredo Peña 11 ; Wen Zhong Shen 12 ; Stefan Oerlemans 13 ; Erik Thysell 14 ; Christer Volk 15

1 , 5 , 6 , 7 , 8 , 9 , 10 , 11 , 12 DTU Wind Energy, Technical University of Denmark, Denmark

2 , 13 Siemens-Gamesa Renewable Energy, Denmark

3 , 14 , 15 FORCE Technology, Denmark

4 EMD International, Denmark

ABSTRACT DecoWind is a 3-year Danish research project whose goal is to devise advanced control strategies for wind turbines and farms for minimizing their acoustic impact. Noise propagation models (Nord2000 and WindStar) are verified through dedicated measurement campaigns onshore. Long-range offshore measurements are also conducted to understand these specific conditions. A Parabolic Equation method for noise propagation, which have mostly been restricted to academic use in the past, is integrated into an engineering context for wind farm control. This framework can be used to define a wind farm optimal control strategy. The energy production is maximized while limiting the noise impact at dwellings, depending on the considered site, by operating the turbines using their different noise operational modes. This framework is demonstrated through numerical test-cases. In addition, a public survey is conducted to assess the socio-acoustical impact of wind turbine noise, looking at several factors. Its main goal is to produce a set of recommendations regarding wind turbine noise regulations that would connect the new engineering design capabilities and the findings regarding public annoyance. In this contribution, the main achievements of the project are summarized.

1. INTRODUCTION The aim of the DecoWind (acronym for “Development of low-noise and cost-efficient wind farm technology”) project is to:

• address fundamental gaps in our knowledge about noise generation from wind turbines and propagation to receivers (neighbors) living nearby, • increase annual energy production (AEP) within existing noise regulations, • pave the way for new noise regulations based on the new scientific findings. To achieve this goal, a noise-chain model able to evaluate noise propagation from a wind turbine to a receptor over the terrain and through the atmosphere is used as a basis for calculating immission noise (see Section 2). In order to better understand the physics of noise propagation, in particular including the specificities of wind turbine noise, a series of measurement campaigns are conducted

1 frba@dtu.dk

2 Tomas.Hansen@siemensgamesa.com 3 lss@forcetechnology.com 4 ts@emd.com

inter.noise 21-24 AUGUST SCOTTISH EVENT CAMPUS. ? O? ? GLASGOW

(Section 3). Furthermore, the measured data are used to validate noise propagation models (Section 4). The latter models can also contribute to a better understanding of wind turbine noise propagation. These numerical tools are integrated in a larger engineering framework for wind farm planning. It is used to devise a Wind Farm Operation Strategy (WFOS) that optimizes the energy production while complying with the noise limits at the individual dwelling locations (Section 5). Finally, a socio-acoustic study is conducted in order to get a better overview of the actual noise annoyance in connection with physical parameters such as wind conditions and estimated actual noise levels (Section 6). The DecoWind project started in November 2018 and is ending in May 2022. Note that the present paper does not aim at providing a detailed overview of the results, but rather a high-level summary of what was achieved and the difficulties that were encountered.

inter.noise 21-24 AUGUST SCOTTISH EVENT CAMPUS. ? O? ? GLASGOW

2. NOISE-CHAIN MODEL In order to be able to attain the ultimate goal of designing a strategy to optimize wind turbine production while respecting noise limits at neighbouring dwellings, it is necessary to accurately predict the noise at these locations. Wind turbine noise emission and propagation is a complex process for which several mechanisms interact, the so-called noise-chain. At the origin of this chain, the turbine produces noise (from mechanical and aerodynamic sources). By extracting energy from the wind, wind turbines generate a wake flow deficit downstream of the rotor. This wake is convected by the atmospheric flow over the possibly non-flat terrain as illustrated in Fig. 1. It can affect the noise propagation when sound waves travel through it, but it may also impact other wind turbines. This can therefore affect both the energy production and the noise emission from these impacted downstream turbines. Estimating and optimizing the energy production and the noise emission from a complete wind farm with multiple turbines becomes a complex endeavour.

2200 — terrain 2100 — turbine rotor 2000 — wake center --- wake boundary = 1900 N 1800 1700 1600 1500 oO 500 1000 ©1500 2000 2500 3000 X[m]

(a)

(b) Figure 1 – Wake flow deficit convected along the atmospheric flow above the terrain: (a) Two- dimensional slice, (b) Three-dimensional perspective.

In this project, a noise-chain model is used to conduct these predictions [1]. The wind turbine as a noise source is modelled using engineering model combining the aerodynamic of the turbine using a Blade Element Momentum method and an empirical aeroacoustic model. This combined model is tuned to match the noise data provided by the manufacturer (e.g. IEC 61400-11 measurements that are used for turbine certification [ 6 ]). Note that most modern wind turbines can be operated using different curtailment modes. Shortly explained, as maximizing power production is nearly always conflicting with mimimizing the noise emission, the turbine can be operated at full capacity at the expense of

(Terrain following curve Wake boundary _—Iso-surface streamline ij Iso-surface Pseudo 3D streamline —>Out of iso-surface displacement, el

higher noise emission levels. Alternatively, the control system of modern wind turbines possess a series of different settings allowing for curtailing the energy production and reducing noise at the same time. Once the turbine noise emission is established, the key component for estimating the immission noise at the receiver position is the noise propagation model. The focus in the project is both the well-known Nord2000 model and the use of a high-fidelity Parabolic Equation (PE) numerical code named WindSTAR. Note that the equations for the latter are solved on 2D vertical planes aligned with the direction of propagation, i.e. from the turbine to the receiver position. This code is able to calculate the noise losses during propagation in the atmosphere over the surrounding terrain and possibly through the wake flow, and includes the refraction/reflection effects due to the ground.

3. MEASUREMENT CAMPAIGNS In order to improve our knowledge of noise propagation, a series of measurements were conducted both for onshore and offshore configurations. In the first case, a site located in a quiet rural area with a single 4.1 MW turbine was used for a series of experimental campaigns. As noise propagation is largely influenced by the atmospheric flowfield, a variety of equipments for atmospheric flow measurements were also used (e.g. met mast with various sensors, Lidar profiler, etc). In addition, two noise sources were considered. The wind turbine itself is the main source of interest. However, for model validation a well-defined source, in terms of its emission spectrum and the souce location, is preferable. Therefore, a loudspeaker was also used. Furthermore, using a loudspeaker allows for increasing the signal-to-noise ratio (see below). To be realistic of the conditions of wind turbine noise emission, the loudspeaker was mounted on the turbine nacelle at the test-site. In the case of the offshore configuration, only a loudspeaker was used to be able to acquire a usable signal-to-noise ratio for the large distances which is needed. The loudspeaker was elevated at various heights using a crane.

3.1. Equipment (Onshore) The atmospheric flow was monitored with different instruments. During the first phase of the project and for the onshore site, a met mast with a height equal to that of the wind turbine nacelle was present. It included a number of wind speed measurement sensors, as well as temperature at various heights. In all cases, a Lidar-profiler was installed to monitor the atmospheric wind shear. In one case, a spinning Lidar was also used to monitor the wake of the turbine. In all onshore campaigns, microphones were deployed along a line originating at the turbine location and pointing approximately toward the prevailing wind direction at the considered site, see Fig. 2(a). The first microphone was located at the so-called IEC distance. It refers to the IEC 61400-11 standard position for measuring wind turbine noise, which is equal to the tower height plus half of the rotor diameter [ 6 ]. This microphone was placed on a plywood board on the ground according to the standard. The remaining microphones were deployed along the line with roughly constant intervals up to a distance of nearly 1 km (and further away in the case of one campaign). These microphones were placed on tripods at a height of either 1.2 m or 1.5 m as illustrated in Fig. 2(b).

3.2. Wind Turbine Noise Measurements (Onshore) Even if the test-site is located in a quiet rural area, measuring wind turbine noise at a large distance from the turbine can be very challenging. Indeed, the wind turbine noise itself often hardly emerges over the background noise, even if the latter is quite low. As a last onshore measurement campaign during the project, and in order to ascertain the feasibility of the implementation of a WFOS based on noise directivity (see Section 5), a specific experimenal

inter.noise 21-24 AUGUST SCOTTISH EVENT CAMPUS. ? O? ? GLASGOW

inter.noise 21-24 AUGUST SCOTTISH EVENT CAMPUS. ? O? ? GLASGOW

(a)

(b) Figure 2 – Instrumental set-up for one of the measurement campaigns: (a) Overview of test-site with instrument positions (Extracted from Google Earth © ), (b) A microphone protected by both a primary and a secondary wind screen and installed on a tripod.

set-up was implemented. Instead of one single line of microphones, two lines were deployed along two different directions as illustrated in Fig. 3(a). The measurements were conducted during a period of approximately 8 hours, during which time the line # 1 was roughly aligned in the downstream direction of the turbine with respect to the incoming wind. As shown in the noise measurements in Fig. 3(b), even though the noise level differences between the two lines are insignificant at the microphone positions closest to the turbine, further away from the turbine these differences become noticeable and even significant in term of perceived noise levels (up to a few dB).

3.3. Loudspeaker Measurements (Onshore) To improve the noise source characterization (its location and strength) and the measured signal-to- noise ratio far from the turbine, a loudspeaker was fixed to the back of the turbine nacelle facing the row of microphones.

3.4. Background Noise Subtraction (Onshore) It is a well-known problem for acoustic engineers in the wind energy sector that is it difficult to measure wind turbine noise at large distances. The reason is that, even in quiet area as the one considered in the present study, the wind turbine sound levels becomes rapidly equivalent to (or lower than) the ambient background noise. The latter originates from human or animal activities, vegetation noise, etc. But it can also include some spurious noise from the measuring equipment itself, e.g. wind induced noise in the microphones, electronic noise in the acquisition system, etc. Therefore, special care must be taken when conducting such experiments to ensure a high quality of the collected data. To assess properly the contribution of the wind turbine noise to the total noise (i.e. background noise mixed with turbine noise), it is usual to correct the background noise from the total noise (e.g. using the IEC 64100-11 standard procedure [ 6 ]). However, when the background noise is close to the total noise, this method is becoming unreliable. Furthermore, uncertainty cannot be properly accounted for in this procedure.

inter.noise 21-24 AUGUST SCOTTISH EVENT CAMPUS. ? O? ? GLASGOW

(a)

(b) Figure 3 – Validation measurement campaign: (a) Distribution of microphones along two lines origi- nating at the wind turbine (from Google Earth © ) - Red line: line # 1; Green line: line # 2, (b) Scatter plot and average of measured wind turbine noise levels along the two lines as a function of wind speed (from top to bottom: microphones located at 160, 510, and 710 m from the wind turbine).

To address these difficulties, a new method for subtracting noise and handle the uncertainties is proposed [ 2 ]. It consists in considering the measured noise pressure level as statistical samples (e.g. equivalent noise level during 10 s for each 1/3 octave band) with its probability density function. Using the deconvolution technique to subtract the background noise from the total noise provides the detailed statistics of the wind turbine noise that are necessary to evaluate the propagation models in an appropriate way. Note that the results displayed in Sections 4.1 and 4.2 have been obtained by applying the present deconvolution method to process the data.

3.5. Long-range Offshore Noise Propagation Measurements Two experiments were conducted as part of this project using a loudspeaker elevated at various heights above the ground using a crane and located near the shore of a body of water so that noise is measured at larger distances on the other side of it. The source strength of the loudspeaker was measured in an anechoic chamber prior to the measurements. The first experiment was conducted on a site in Dragstrup Vig (northwesten part of Denmark). However, the loudspeaker was not audible at the measurement points further away from the noise source than 2 km (up to 8 km). Therefore, the experiment was repeated at a different site, in Risø across the Roskilde fjord (eastern part of Denmark) as illustrated in Fig. 4(a). Atmospheric conditions were monitored with a met mast located near the noise source, as well as a Lidar-profiler at the other side of the fjord (close to the 7 km position). Since it was desired to measure the noise propagation over water, it was not possible to have the microphones in a full straight line, and resultingly the microphones was positioned as shown in Figure 4, in an almost downwind

position of the noise source (loudspeaker). For each of the three distances 2 microphones were used, one at the shore and one 60-100 m inland.

inter.noise 21-24 AUGUST SCOTTISH EVENT CAMPUS. ? O? ? GLASGOW

(a)

(b) Figure 4 – Measurement set-up for offshore conditions: (a) Map of the Risø-Roskilde fjord test-site, (b) Loudspeaker noise measurements versus different propagation models for offshore conditions.

4. MODEL VALIDATION In this part of the study, three different sound propagation models are considered: the international standard model ISO 9613-2 [ 7 ], the Nord2000 ray tracing model, and a Parabolic Equation (PE) model named WindSTAR. The results of the different models at the microphone positions are compared with the measurement data as described in Sections 3.2 and 3.3. The deconvolution method in Section 3.4 is used to subtract the background noise from the results. In addition, the offshore measurements described in Section 3.5 are used to validate the propagation models used in Denmark for offshore noise propagation modeling.

4.1. Comparison With Loudspeaker Measurements (Onshore) The sound propagation models are evaluated by using a point source at the position of the loudspeaker (at the nacelle of the turbine). Two-minutes meteorological data are used as input to the models to obtain a mean and 5%-95% confidence interval of the estimate. The results for selected meteorological conditions are displayed in Fig. 5(a). It can be observed that all models underestimate the immission noise at all microphones in the high frequency range. A thorough analysis of the data shows that the loudspeaker probably is not acting as a monopole. Therefore, the analysis of the results is improved by considering the noise losses between different microphones. This is done by calculating the noise differences between two microphones, for both the measurements and the numerical results. This is displayed in Fig. 5(b). It appears that WindSTAR performs better than Nord2000 and the ISO 9613-2 around 315-400 Hz. This is attributed to a better handling of the ground reflection and the associated interference pattern.

4.2. Comparison With Wind Turbine Noise (Onshore) The noise measured at the 3 farthest away microphones (microphone nos. 6, 7 and 8 at 711 m, 862 m and 982 m, respectively) in cross-wind conditions are compared with the different noise models. Two

“cc@soorte (98) bea@asore: 148) oss L eg@estt: 198] Source height 30m & 8B BEKITIS BEKI35,,.. BEKI35,,., ‘Avg. shore ‘Ag ilond & 8 we BEKITIG BEKI35,,.. BEKI35,,. ‘Avg. shore ‘gland BETTS BEKI35,,., BEK135,,_ ‘xg. shore ‘gland Bess ess Distance from source [km] BETTIS BEK135, BEKI35,,., ‘Ag. shore ‘Agilond

(a)

inter.noise 21-24 AUGUST SCOTTISH EVENT CAMPUS. ? O? ? GLASGOW

(b)

Figure 5 – Loudspeaker noise measurements versus different propagation models: (a) Absolute values at various microphone positions, (b) Difference between two microphone positions.

cases are considered for which the rotor is modeled as: 1) a single monopole sources located at the rotor center, and 2) three monopole noise sources distributed across a vertical line spanning the rotor height. The second option with distributed sources does improve the model results compared to the measurements in given frequency bands. The three tested propagation models have been compared with measurements for a large number of situations, and each of them compares best for some situation. However, in general the best fit is for the WindSTAR and the Nord2000 model.

Mic 8 Precieasy (2 Peoeeency (8) Precieasy (2

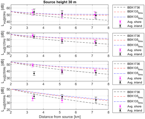
4.3. Comparison With Loudspeaker Measurements for Offshore Conditions The loudspeaker noise propagation measurements conducted across water are compared to two Danish models for noise propagation: the BEK1736 [ 8 ] and the BEK135 [ 9 ]. The results are displayed in Fig. 4(b). Only the case for the loudspeaker at the height of 30 m is displayed here as it shows the largest discrepancies between models. As it can be seen, the older model BEK1736 does overestimate the propagation losses at the largest distances, in particular at the low frequencies, while there is a good agreement with the measurements for the newer BEK135 model. In the case of the loudspeaker placed at height of 81 m, discrepancies are only marginal. The main results of this study have been summarized in a conference paper [4].

5. INTEGRATION OF THE NOISE-CHAIN MODEL INTO AN OPTIMIZATION FRAME- WORK FOR WIND FARM The ultimate goal of this project is to increase the energy production of wind farms and still complying to existing or future noise regulations. This can be achieved on a case-by-case (here, site-by-site) basis by optimizing the control of the different wind turbines in the farm so that the neighbours in the vicinity

Microphone 4 and 7 Microphone 4 and 8 Microphone 5 and 8 Frequency [Hz] ~ Aly {aB(A)] Aly [aB(A)] 505,69. — 508,180 — 505, ws — 508.N2K SSSsgss SSSESSESES SS Frequeney (Hz]

(a)

inter.noise 21-24 AUGUST SCOTTISH EVENT CAMPUS. ? O? ? GLASGOW

(b)

Figure 6 – Wind turbine noise measurements versus different noise emission and propagation models: (a) One single source at rotor center, (b) Three noise sources across a vertical line.

of the farm are not exposed to excessive noise disturbances. The wind energy industry is using various engineering tools for wind farm planning that account for the specifics of the site in terms of wind resources to maximize the energy production. Most (if not all) wind farms are also subjected to noise limits, in particular in countries like Denmark where the population density is high. Noise emission and propagation to the dwellings is a difficult scientific topic as shown in the previous sections. To this date, this is dealt with somewhat simplified method and approximations. Here, an advanced WFOS based on a higher fidelity noise propagation modeling is proposed. It is built on the premise that if the estimation of the noise emission at the dwellings is accurate enough, then it is possible to improve the control strategy of the wind turbines to optimally curtail their operations while respecting the existing local noise regulation. The methodology consists in identifying a number of climatic parameters (that can potentially be measured by the turbine itself through its various sensors) to which the noise immission is sensitive. The operational space of the turbine for these parameters is divided into bins. The intersection of all bins for the different parameters defines a specific operation and curtailment strategy that is optimal in term of energy production while complying to the noise regulations at the dwellings. If the models are accurate enough, this allows for a very high granularity of this curtailment matrix, with a potentially non-negligible energy increase. Such a curtailment matrix for a single turbine within a larger wind farm is shown in Fig. 7 (for two parameters only). Note that this basic approach is already in use for most wind farm planning. However, the use is limited by the number of physical/climatic parameters that the model can account for. In addition to wind speed, wind direction, temperature, humidity included in the ISO 9613-2 model, the Nord2000 model can include wind shear. As a next step, WindSTAR can add the influence of atmospheric turbulence as well as directivity in the propagation model, providing more freedom for operating the

Faeqnency its) Faaquency [itx) Faoquency {itx)

Mic? Mic 6 g Frequency {Hz} ‘Frequency (Hz)

inter.noise 21-24 AUGUST SCOTTISH EVENT CAMPUS. ? O? ? GLASGOW

Figure 7 – Curtailment matrix involving two parameters (wind speed and wind direction) shown for one of the wind turbines in the farm. The different colors indicate the optimized noise curtailment mode for that turbine depending on the parameter values.

farm in a more efficient way. To illustrate the perspective of using such an advanced WFOS, an existing wind farm with 13 turbines (11 of them can be operated with curtailment modes) is considered. In this real case, because of neighbours living in the close proximity of this farm, the farm operation includes substantial noise reductions using the classical curtailment method, incurring significant production losses. Implementing an advanced strategy using an increasing number of parameters and different noise propagation models yield different production losses. The results are provided in Table 1. Note that in this table, some turbines exhibit negative losses in some cases. This is the consequence of the curtailment of some turbines resulting in less wake-loss at other turbines located downstream, which is also adding to the complexity of the optimization procedure.

‘eter 10 Smo uted (ering) [Guana FS a) [Gr mar ee a)

Table 1 – Relative production losses with different models and curtailment strategies compared to unreduced production (The losses are provided for each of the 11 turbines that can be operated with curtailment modes and the total losses for the wind farm is indicated in the last line).

[Swedishcode| [iSO uniform|isO directional] Nord2000 uniform | Nord2000 directional | Nord2000 direshear| TZ [108% iar | 108% 105% 107% 62% | 108%. 3% 03% 676 a7 4a 73 [94% cox | 06% 9.5% a3 19% 4 [95% 3% 02% 2.8% 38% 15% 5 10% 00% 4% 10% 0.8% a7 16 | 20% 3.9% 35% 39% 67% 32% [29% ae Bed 0.8% 08% Te [9.1% 08% 0.6% 10% 01% 1.0% 73 [85% 31% 39%. 32% 39% 29% To | 88% 23% 2.5% 9.0% 70% 69% mi | 306%. 9.9% 2.5% 27% 38% 9.5% Total [7.0% 4.8% 3% aK 50%. 3.8%

6. SOCIO-ACOUSTIC SURVEY Traditionally, wind turbine annoyance has been studied by asking neighbours to report their annoyance over the last year (in compliance with the ISO 15666 standard) in a one-time questionnaire. These studies usually include a large number of participants which leads to data with large variations in context (geographical, social, personal etc.) to account for in the analyses. While this enables estimates of the level of annoyance in studies of e.g. infrastructure and industry noise, it is less suited for understanding noise level moderators depending on weather conditions which does not follow daily or weekly patterns. In the present study, we were interested in understanding the influence of variations in weather conditions on annoyance and thus decided to ask neighbours daily for five weeks about their current annoyance level. The socio-acoustic study of wind farm annoyance was conducted with 68 participants across 14 locations in Denmark. All participants lived within a 2 km radius of one or more wind turbines (larger than 2 MW) and reported their daily wind turbine noise annoyance for five consecutive weeks, both in terms of current annoyance and annoyance within the last 24 hours. This led to a collection of data on annoyance influences for a large variation in e.g. wind speed and wind direction being documented allowing an in-depth understanding of not just general wind farm annoyance, but conditions in which annoyance was lower and higher. The study focused on establishing knowledge of how annoyance is influenced by factors that could affect the daily operation of wind turbines to the benefit of both owners and neighbours, and the general setup of the study is described in details in a conference paper [5]. The actual noise levels at the participants’ residence are calculated using actual simultaneous meteorological data, the noise specifications for the concerned wind turbines, and the propagation model Nord2000. According to a previous Danish investigation, people appeared to be mostly annoyed in the summer months. Therefore, a study period in June/July 2020 was chosen. Unfortunately, this was a period of relatively low wind and this has affected the results of the study. The main result of the study is that annoyance increases slightly with the predicted noise as illustrated in Fig. 8. However, the majority of the participants were only slightly annoyed and, even though advanced statistical techniques were applied and a lot of regression models were tested, no valid regression model could be found.

7. CONCLUSIONS AND PERSPECTIVES In this paper, the results of the DecoWind project are reviewed. Reflecting back on the original objectives, a series of conclusions can be drawn. The noise-chain model including the noise source, the turbine wake, noise propagation over terrain and across the atmospheric flowfield toward the dwellings is intrisincally complex because it couples various interacting phenomena. When evaluating the actual wind turbine noise received at the neighbouring dwellings, an additional difficulty is the fact that, at large distances it is often difficult to segregate between the total noise (wind turbine noise + background noise) and the background noise. A deconvolution technique is developed to improve the correction of the background noise from the overall noise providing reliable uncertainty analysis. In many cases, it is possible to compare measurements with noise propagation models. The present studies have been limited to a single wind turbine. Indeed, the complexity of the phenomena increases with the number of turbines and the procedure of model validation must be initiated with simple cases. In addition, the use of loudspeakers for propagation over land and water helped to gain confidence in the measurements used for model validation by improving the noise

inter.noise 21-24 AUGUST SCOTTISH EVENT CAMPUS. ? O? ? GLASGOW

inter.noise 21-24 AUGUST SCOTTISH EVENT CAMPUS. ? O? ? GLASGOW

(a)

(b)

Figure 8 – Annoyance: (a) Model prediction for the multiple linear regression model with the response variable on the x -axis and model prediction on the y -axis (Circles are individual predictions and boxes have the median thick line in the middle and 50% of the data within the box. Circles on the diagonal line have correct predictions), (b) Count of persons annoyed versus estimated noise level.

source definition and the signal-to-noise ratio at large distances from the source. The socio-acoustic study attempting to correlate meteorological conditions and annoyance from wind turbines did not lead to clear conclusions. One reason could be that the neighbors are living too far from the wind turbines to be heavily affected by the noise. Another reason could be that in the few high wind periods most turbines were shot down due to grid issues. But a good basis for a larger study has been developed. The crucial question of the possibility to increase annual energy production within existing noise regulations has been addressed. The present study showed that noise restrictions for a real wind farm can cause a production loss in the range of 6.4%, based on Nord2000 calculations. The considered wind farm is subjected to one of the highest curtailment losses (among a large number of farms) due to noise restrictions. Based on the study, using the optimization framework developed within the DecoWind project, it is possible to reduce the loss of energy production to 3.4% within the given noise limits. In rough numbers, it may be possible to reduce the production loss by 50%. It must be reminded that the purpose of the noise limits is to protect the neighbors against noise from wind turbines, and the noise regulations describe the methods to ensure that these limits are fulfilled. The outcome of the DecoWind project should not be used to challenge the existing noise limits. However, the project has shown that:

‘Prediction Muttiple linear regression: Model performance: er sy pecoyence W124

• We do have a solid scientific basis to understand and predict the noise propagation, and validated propagation models are available. • Within the given noise limits, there is room for more production of clean sustainable energy. Finally, the national noise regulations vary from one country to another. In some countries, the outcome of the project can be used to increase power production within given regulations. In other countries, the regulations provide conservative methods which limit the production of clean and sustainable energy more than necessary to fulfill the noise limits.

2ah-amnoyance Bi retrnptat Bi eomeyomne

In conclusion, in order to fulfill the future need for clean sustainable energy, in parallel there is a need to use the scientifically robust and validated models, to optimize energy production and use the room given by the noise limits.

ACKNOWLEDGEMENTS The DecoWind project was funded by Innovation Fund Danmark (Contract no. 8055-00041B). The authors would also like to acknowledge the contribution of many additional persons, in particular in the planning of the different measurement campaigns and, not least, with their assistance in conducting them. The number of persons involved would overload the first page of this document, and therefore they cannot all be cited here, but to name a few of the contributors: Per Hansen, Søren William Lund, Allan Djernes Blaabjerg, Kasper Clemmensen, Irene Ortega, Arturo Santillan, Christian Weirum Claumarch, and even more.

REFERENCES 1. Jiufa Cao, Camilla Marie Nyborg, Ju Feng, Kurt S. Hansen, Franck Bertagnolio, Andreas Fischer, Thomas Sørensen, and Wen Zhong Shen, A new multi-fidelity flow-acoustics simulation framework for wind farm application , Renewable and Sustainable Energy Reviews, Vol. 156, 2022, DOI: 10.1016/j.rser.2021.111939

2. Andreas Fischer, Juan Pablo Murcia Leon, Alexander Meyer Forsting, Camilla Marie Nyborg, Franck Bertagnolio, Oliver Lylloff, Tomas Rosenberg Hansen, and Lars Sommer Søndergaard, Statistical deconvolution method for background noise subtraction applied to wind turbine noise measurements , Journal of the Acoustical Society of America (Submitted)

3. C M Nyborg, A Fischer, E Thysell, J Feng, L S Søndergaard, T Sørensen, T R Hansen, K S Hansen, F Bertagnolio, Propagation of wind turbine noise: measurements and model evaluation , Torque Conference (in Proceedings), Delft, 2022

4. Lars Sommer Søndergaard, Erik Thysell, Christian Claumarch, Andrea Vignaroli, Carsten Thom- sen, Kurt S. Hansen, Long distance noise propagation over water for an elevated height-adjustable sound source , 9 th International Conference on Wind Turbine Noise (in Proceedings), May 2021

5. Lars S. Søndergaard, Christer P. Volk, Tomas R. Hansen, Lars Enggaard, Thomas Sørensen, Alfredo Pena, Wind farm neighbourship investigated by a daily app questionnaire combining weather, noise, and annoyance , 9 th International Conference on Wind Turbine Noise (in Proceedings), May 2021

6. International Standard, Wind Turbines - Part 11: Acoustic Noise Measurement Techniques (Third edition) , International Electrotechnical Commission, Geneva (CH), IEC 61400-11, 2012, ISBN 978-2-83220-463-4

7. Dansk Standard (Danish Standard), Acoustics - Attenuation of sound during propagation outdoors - Part 2: General method of calculation , DS tryk (DK), DS/ISO 9613-2, 1997

8. Miljøministeriet (Danish Ministry of Environment), BEK nr. 1736 - Bekendtgørelse om støj fra vindmøller , https://www.retsinformation.dk/eli/lta/2015/1736, 2015

9. Miljøministeriet (Danish Ministry of Environment), BEK nr. 135 - Bekendtgørelse om støj fra vindmøller , https://www.retsinformation.dk/eli/lta/2019/135, 2019

inter.noise 21-24 AUGUST SCOTTISH EVENT CAMPUS. ? O? ? GLASGOW