Welcome to the new IOA website! Please reset your password to access your account.

Validation of an approach to potential-based active sound control methodology H. Lim, L. Gomez-Agustina Built Environment and Architecture, London South Bank University, 103 Borough Road London SE1 0AA, United Kingdom

ABSTRACT This paper describes a global active sound control methodology based on difference potentials in a given space. The proposed method allows us to reduce a boundary value problem set in a complex domain to a boundary equation. The only input data needed by the approach are the acoustic quantities at the perimeter of the protected region. By minimizing the number of input data, the characteristics of the method provide a practical and cost-effective control system. Moreover, these quantities may pertain to the overall acoustic field composed of both the unwanted and wanted components. The most distinctive feature of this methodology is its ability to automatically differentiates between the wanted sounds and unwanted noise within targeted domains. The proposed approach requires information of neither the wanted nor unwanted component, but the measurements of the total field on the boundaries of the shielded domain only. This capability can be very useful for the applications related to personal audio and building acoustics as it enables protection of the predefined personal space against the noise coming from the outside. In doing so, the controls will not interfere with the detectors' recognition of the wanted sound or communication among speakers in the room.

1. INTRODUCTION

The AS problems mathematically belong to the inverse problems finding source terms in the differential equation which describes a wave field, e.g. an acoustic pressure field [1]. The typical solution of the AS problems consists of source terms that usually take place on the right-hand side of the acoustic wave equation, which provides the desirable field in the specific problem domain. In the most practical case of AS problems, the desirable alteration of the sound filed corresponds to the elimination of the exterior noise and/or preservation of the interior wanted sounds in the shielded domain. Some other available active noise control methods provide for the cancellation of noise in the selected discrete [2-5] or directional [6] areas. The method proposed by Kincaid et al. requires the detailed information of the original sources and noise [7-8]. The methods based on optimization of the strength, in Refs [9-10], use the spatially distributed controls to minimize a quadratic cost function.

The JMC method developed by Jessel [11], Mangiante [12], and Canevet [13], was based on the classical Huygens’ principle, i.e. wave field reconstruction method in Refs. [14-16]. The JMC method requires the special combination of the monopole, dipole, and quadruple to implement the control source term [17-18]. The solutions of the JMC method enable global noise cancellation in a way similar to our proposed approach. However, only the approach based on difference potentials is able to provide the solution preserving the wanted sounds as well as global noise cancellation when only the total field is known on the boundary of the protected domain, i.e. neither the wanted sounds nor intruding noise is explicitly known. To clarify the capability of the control system, the signal to noise ratio of the wanted sound and the noise can be lower than 0 dB. It is not uncommon that many other conventional AS methods cannot achieve enough noise attenuation at resonances.

The reason is usually that some existing AS methods do not provide an exact solution for shielding or the sensitivity of their solutions to errors is too high to be controlled at resonances or anti- resonances. As a result, the control sources cannot generate sound fields with enough accuracy required for meaningful attenuation through the broadband spectra. The AS methodology is experimentally validated for the case when the wanted sound components exist and is not separated from noise ahead of time, and when the protected domain has unknown acoustic properties, such as impedances of terminations.

2. THEORETICAL FORMULATION

The outline of the theoretical formulation is given here to help the understanding relevant to the configuration of the problem and experimental design.

Fig. 1 Problem sketch

Assume that the propagation of sound is governed by a linear partial differential equation or system on the domain D o (bounded or unbounded):

LU = S , (1) and that its solution U is subject to some additional conditions (e.g., boundary conditions) that we formulate as the inclusion:

U ∈ U Do . (2)

In formula (2), U Do is a linear space of functions defined on D o and the boundary Γ, such that the inclusion (2) guarantees existence and uniqueness of the solution to problem (1), (2). The operator L in Eq. (1) is a linear differential operator and can correspond to the linearized Euler equations (acoustics system).

Next, consider a subdomain D ⊂ D o . It is important to note here that the domain D is not necessarily simply connected. The acoustic sources S on the right-hand side of Eq. (1) can either belong to D or to its exterior:

S = S f + S a ,

supp S f ⊂ D,

supp S a ⊂ D o \ D. (3)

We presume that neither the primary noise, U a nor the wanted sound field, U f is explicitly known in Eqs. (4) and (5).

LU a = S a , U a ∈ U Do (4)

LU f = S f , U f ∈ U Do (5)

Now, we can formulate the AS problem as follows. It consists of finding such additional sources

G that the solution to the modified boundary value problem [cf. formulae (1), (2)]:

U

L = S+G , ∈ U Do ,

U

U

supp G ⊂ D o \ D , (6)

coincides with the wanted sound U f , i.e. ≡ U f , in the subdomain D.

U

3. AN EXAMPLE OF THE ANALYTICAL SOLUTION

The following consideration shows the simplest example of how the solution based on difference potentials can be explained by the analytical solution for plane wave propagation. Fig. 2 illustrates an example that has noise, denoted by P a , propagating from the right-hand side of a duct, which has anechoic terminations at both ends. The wanted sound source is positioned inside the shielded domain which is to the left of x=0 in the figure. The section at x=0 defines the boundary of the shielded domain. The wanted sound wave is denoted by P f . The monopole and dipole control sources are situated at x=0 . They are required as controls to eliminate the noise field and at the same time preserve the wanted sound in the shielded domain. The output sound pressure fields created by the monopole and dipole sources are denoted respectively by P m and P d .

Shielded domain

Fig. 2 AS in an infinite duct.

The total sound field can be investigated analytically by using classical acoustic formulations. We will consider the case when the frequency is low, such that only plane waves propagate in the duct. In this case, the sound waves can be described by the following plane wave equations.

P a (x) = We jk(x-l) (7)

o o c q A  e jkx (8)

P m (x) =

2

A b 2 e jkx , x>0 (9)

P d (x) =

b 2 − e jkx , x<0,

P d (x) =

A

where W is the amplitude of the unwanted noise, q and b are the source strengths of the monopole and dipole respectively, k is the wave number, c o the speed of sound, ρ o the density of air, and A the cross-sectional surface area of the source. When the control sources are off, the total sound pressure inside the duct is given by the sum of P a and P f and the total particle velocity u o and total sound pressure p o on the boundary of the shielded domain, at x=0 are therefore,

− (10)

(0) P (0) P

   } {  

=     + 

0 x f a (x) P (x) P x j

u o =

=

a f

c

o o

and P o = P a (0)+ P f (0),

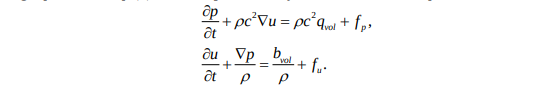
where u o is the total particle velocity, and P o the total sound pressure at x=0 when the noise and wanted sound are generated. Eq. (10) contains the variables required to define the source strengths in the proposed solution. The potential based solution can be derived in terms of the values, u o and P o (see Eqs. (14) to (17) in Ref. [19]). The governing equation in Eq. (1) can be represented by the acoustic wave equations with

Where f p and f u are source functions for the continuity and momentum equations, respectively.

In the continuous linear space, the counterpart of control, the controls q vol and b vol are given by (see Ref. [19])

 

( ) ( ),

=

q u

n vol

 

( ) ( ).

=

b np

(12)

vol

n 

Here, is the exterior normal to the boundary Γ of the shielded domain D , δ (Γ) is the surface delta- function defined on Γ, u n (Γ) is the normal component of particle velocity and p (Γ) acoustic pressure. The values of p (Γ) and u n (Γ) in Eq. (12) can be measured on Γ in practice, which generally associated with the total field including the unwanted and/or wanted components. 4. EXPERIMENTAL RESULTS

In the measuring process, before obtaining the AS solutions for a given problem, directional and non-directional components of the sound field are measured. The former is the normal component of the particle velocity, and the latter is the acoustic pressure of the total field at the boundary. Then, the directional component measured defines a non-directional AS control source which is a monopole. On the other hand, the non-directional component measured is used to define a dipole control source which is directional. The terminations at both ends are nearly rigid so that the results can reflect the characteristics of the method especially at resonances and anti-resonances. The theoretical studies in Ref. [20] prove that the potential-based approach provides AS even at resonances. However, the solutions near resonances have high sensitivity and require high accuracy in measurement and in control. The control sound field is derived from the measurements of the total field of the unwanted noise and the wanted sound on the boundary of the shielded domain. Unlikely other approaches, for the preservation of a desirable sound and cancellation of noise, the procedure does not require any additional explicit information regarding the wanted sound. In contrast, previous studies, e.g. Ref. [17], for similar control cases required either the wanted sound or the unwanted noise to be absent in the measurement. This is not required in our case because the sources of the wanted sound and the unwanted noise are on different sides of the boundary from each other. Namely, they can be discriminated by the direction of the propagation. The measurement of the particle velocity at the boundary and the difference potential formulation are able to capture this directional information automatically. When the control sources are mounted on the boundary, the direction of a dipole source defines the inside and outside of a shielded domain.

In appearance, a monopole source itself does not have directivity in particular [21], However, the monopole source strength is based on the measurement of particle velocity which includes directional information. According to the definition of the domains, the net output of the controls only suppresses all acoustic fields originating from outside the boundary but not those from the inside (the wanted sound). The wanted sound pressure which is denoted by ○ in each frequency band is mostly preserved after the controls are switched on in Fig. 3.

Fig. 3 Plots of sound pressure distribution in a scale of one-third octave bands; ○ : wanted sound pressure, Δ : total sound pressure (the sum of unwanted noise, wanted sound, and control output), * : unwanted noise pressure, and ×: the sum of unwanted and wanted sound pressure. 5. CONCLUSIONS

The active shielding and preservation of the wanted sounds based on the measurement of the total fields on the boundaries have been validated with a continuous broadband spectrum in the experimental conditions. The broadband frequency spectrum of noise and sound has been used in a series of experiments with significant resonances as well as anti-resonances in a protected domain. Regardless of existence of wanted sounds, about 17~20 dB the sufficient attenuation of unwanted noise in average has been achieved in a large area even at frequencies including resonances. Apart from the practical difficulties related to the time delay errors and high sensitivity at anti-resonance frequencies, the current study reports that the proposed methodology can effectively provide sufficient preservation of wanted sounds as well as significant attenuation of noise at a continuous broadband frequency spectrum. In addition to the effective noise abatement, the results have obviously shown separate preservation of the interfering wanted sounds from the total fields excessively contaminated by unwanted noise in shielded domains with the unknown characteristics of the system. It has also been presented that the proposed approach can be realized with the contribution of the control signals to the inputs while the wanted sounds exist.

The results of the study have shown the potential possibilities of the methodology in applications associated with exterior noise, e.g. communication among speakers, building services noise, transportation noise, especially for selectively suppressing the noise intruding into the passenger compartment of vehicles or quiet zones in a building. 6. REFERENCES

1. P.A. Nelson, and S.J. Elliott, "Active control of sound," Academic Press, San Diego, CA, USA,

1992, pp. 118-122, pp. 143-146, pp. 311-378. 2. J.C. Burgess, "Active adaptive sound control in a duct: A computer simulation," Acoustical

Society of America, 70, 1981, pp. 715-726. 3. S.J. Elliott, I.M. Stothers, and P. A. Nelson, "A multiple error LMS algorithm and its

application to the active control of sound and vibration," IEEE Trans., Acoustics, Speech and Signal Processing ASSP -35, 1987, pp.1423-1434.

Sound pressure (Pa) ee 0.08) & 0.06. x a é x .& > x 0.04) oo a6 4 * * * 0.02) * * +* * cama * % 200 400 600 800 Frequency (Hz) 1000

4. B. Widrow, D. Schur, and S. Sohareff, "On adaptive inverse control," in Proceedings of the

Asilomar Conference on Circuits, Systems and Computers, Pacific Grove, CA, 1981, pp. 185- 195. 5. R.H. Cabell, and C.R. Fuller, "Active control of periodic disturbances using principal

component LMS: Theory and experiment," in 3rd AST/HSR Interior Noise Workshop, Part I: Sessions A, B, and C, NASA Langley Research Center, Hampton, VA, 1998. 6. S.E. Wright, and B. Vuksanovic, "Active control of environment noise, II: Non-compact

acoustic sources," Journal of Sound and Vibration, 202, 1997, pp. 313-359. 7. R.K. Kincaid, S.L. Padula, and D.L. Palumbo, "Optimal sensor/actuator locations for active

structural acoustic control," AIAA Paper 98-1865, in Proceedings of the 39th AIAA/ASME/ASCE/AHS/ASC Structures, Dynamics and Materials Conference, Long Beach, CA, 1998. 8. R.K. Kincaid, K. Laba, "Reactive tabu search and sensor selection in active structural control

problems," Journal of Heuristics, 4, 1998, pp. 199-220. 9. J. Piraux, and B. Nayroles, "A theoretical model for active noise attenuation in three-

dimensional space," in Proceedings of Inter -Noise'80, Miami, 1980, pp. 703-706. 10. P.A. Nelson, A.R.D. Curtis, S.J. Elliott, and A. J. Bullmore, "The minimum power output of

free field point sources and the active control of sound," Journal of Sound and Vibration, 116, 1987, pp. 397-414. 11. M.J.M. Jessel, "Sur les absorbeurs actifs," in Proceedings 6th ICA, Tokyo, Paper F-5-6, p. 82,

1968. 12. G.A. Mangiante, "Active sound absorption," Journal of Acoustical Society of America, 61 (6),

1977. 13. G. Canevet, "Active sound absorption in air conditioning duct," Journal of Sound and Vibration,

58 (3), pp. 333-345, 1978. 14. G.A. Mangiante, "The JMC Method for 3D active sound absorption: a numerical simulation,"

Noise Control Engineering Journal, 41 (2), pp. 339-345, 1993. 15. M.J.M. Jessel and G.A. Mangiante, "Active sound absorbers in an air duct," Journal of Sound

and Vibration, 23 (3), pp. 383-390, 1972. 16. M.J.M. Jessel, "Some evidences for a general theory of active noise sound absorption," in

Proceedings of Inter-Noise 79, Warzaw, pp. 169-174, 1979. 17. S. Uosukainen, V. Valimaki, "JMC actuators and their applications in active attenuation of

noise in ducts," VTT Publications, 341, VTT Building Technology, ESPOO, p. 100, 1998. 18. S. Uosukainen, "Modified JMC method in active control of sound," ACUSTICA – acta acustica,

83, pp. 105-112, 1997. 19. V.S. Ryaben'kii, "Method of difference potentials and its applications," Berlin, Springer-Verlag,

pp. 515-522, 2002. 20. S.V. Tsynkov, "On the definition of surface potentials for finite-difference operators," J. of

Scientific Computing, 18, pp. 155-189 (2003). 21. S.V. Utyuzhnikov, "Non-stationary problem of active sound control in bounded domains,"

Journal of Computational and Applied Mathematics, Vol. 234, No. 6, 15.08.2010, pp. 1725- 1731.