Welcome to the new IOA website! Please reset your password to access your account.

Experimental setup for laser vibrometry measurements of the vibrating horn in Ultrasonic Metal Welding Elie Abi Raad 1 Institute for Hearing Technology and Acoustics, RWTH Aachen University Kopernikusstrasse 5, 52074 Aachen, Germany Florian W. Müller Welding and Joining Institute, RWTH Aachen University Pontstraße 49, 52062 Aachen, Germany Uwe Reisgen Welding and Joining Institute, RWTH Aachen University Pontstraße 49, 52062 Aachen, Germany Michael Vorländer Institute for Hearing Technology and Acoustics, RWTH Aachen University Kopernikusstrasse 5, 52074 Aachen, Germany

ABSTRACT Ultrasonic Metal Welding is a type of welding used in the production of electric car batteries. Currently, it suffers from quality fluctuations, and there is a need for online quality control techniques. One technique being investigated involves the measurement of the vibrations of the welding horn using laser vibrometry. However, this comes with two obstacles. First, measurements close to the welding site, which contain the most information, are difficult to do. This is due to the interference of particles ejected during welding, which interfere with the laser beam. Second, it is possible that the use of reflective tape for vibrometry changes the vibrations measured, due to heating of the horn during welding. This work investigates these problems and presents some solutions. The effects of the reflective tape on the measurement is investigated, by measuring the vibrations of the horn during welding and free run, with and without reflective tape, and with and without prior heating of the tape. Furthermore, the interference of ejected particles is minimized using a special experimental setup, and measurements are done without any reflecting tape.

1. INTRODUCTION

Ultrasonic metal welding (USMW) is a type of solid-state friction welding used to manufacture, among other things, battery tabs for electric car batteries. USMW works by compressing the workpieces (the metal pieces which are meant to be welded) between the horn and the anvil, two components of the welding machine. The horn then vibrates horizontally at about 20 µm and about 20 kHz, creating friction between the workpieces, which ultimately leads to welding. Although it has been used for a few decades already, USMW still suffers from fluctuations in the strength of the

1 elie.abiraad@akustik.rwth-aachen.de

welds it generates, and quality-control and process monitoring methods are still being actively researched to this day. One monitoring option is to track the vibrations of the horn during welding using laser vibrometry [1].

Laser vibrometry is a non-contact measurement technique, which is able to measure hard-to- access surfaces, and measure higher frequencies and accelerations than what is possible using other types of sensors such as accelerometers or eddy current sensors. It works by sending a laser beam towards the vibrating surface, receiving the beam reflected from that surface, and comparing the two beams to extract the vibrations of the surface. Therefore, laser vibrometry relies heavily on the reflectivity of the vibrating surface, and on the reception of the reflected beam by the laser head. In other words, it requires that the path between the vibrometer and surface be free of obstacles or interferences, and that the surface reflects the incoming beam towards the vibrometer. The first condition can be met by removing potential obstacles from the path of the beam. The second condition can be met by either improving the reflectivity of reflective surfaces, such as by polishing a metal surface, or by applying a retroreflective spray or tape to the surface, which would then reflect the beam back towards the vibrometer. The advantage of using retroreflective spray or tape compared to measuring a bare surface is that it can reflect the laser beam back towards the vibrometer from different angles of incidence, while the bare surface measurement requires a precise alignment of the vibrometer and the surface to reflect the beam towards the vibrometer [1].

In the case of USMW, the two conditions for laser vibrometry can be easily met for most horn geometries. However, the surfaces measured are usually far from the welding site, where welding happens, and information from the welding process can be lost due to damping in the horn or the modal vibration of the horn itself. For this reason, it can be beneficial to measure the vibrations of the horn as close as possible to the welding site, such as shown in Figure 1. This comes with some difficulties. First, metal particles are ejected from the workpieces during welding, and can interfere with the laser beam [1]. Second, the surface available for the bare surface measurement is small: too close to the welding site, and the workpieces can bend during welding and interfere with the laser beam. Too far from the welding site, and the surface of the horn is now curved, and reflects the beam away from the vibrometer. So finding the right measurement setup for a bare-surface measurement is can be cumbersome. Measuring on the curved surface would be possible by applying retroreflective spray or tape, but when the authors tried applying reflective spray, particles of the spray detached from the surface of the horn and interfered with welding, so the authors opted for using retroreflective tape. However, high-speed camera recordings done by the authors showed that the tape did not move synchronously with the horn, but seemed to rather have different amplitude and phase, and potentially a nonlinear displacement. This prompted a further investigation into the behavior of said tape during vibrations.

Retroreflective tape consists of retroreflective beads imbedded in a layer of material, often plastic, followed by a layer of adhesive to attach the tape to the surface to be measured. The retroreflective beads are constructed in a way to reflect the light beam they receive in the direction in which it is received, which makes them suitable for measurements at non-zero angles of incidence [2]. The adhesive is pressure-sensitive adhesive. However, when using retroreflective tape (further referred to as “tape”), there is a risk of the tape influencing the behavior of the surface it is attached to. For example, [3] investigated different types of retroreflective tape, and reported changes in the amplitude of measured vibrations when using reflective tape compared to the bare surface. The change was either an increase of decrease of the amplitude depending on the frequency of the excitation and on the tape studied. They also reported large increases in amplitude for excitation frequencies close to the resonance frequencies of the tape, in the low MHz range, and that non-perfect adhesion of the tape on the surface could cause differences between theoretical and experimental results.

USMW is slightly different from the applications documented in the literature when researching the influence of tape. First, the frequency range of interest is below 100 kHz, where the welding frequency and its first harmonics lie. Second, USMW involves heating of the horn during welding

to temperature over 60° C [4], which can influence the performance of the tape. For these reasons, should retroreflective tape be used in USMW, its behavior needs be studied.

The goal of this paper is to investigate the feasibility of measurements at the bottom of an USMW welding horn, close to the welding site, during welding. This is done in two parts: by resolving the interference of particles ejected during welding, and by studying the influence of retroreflective tape on the measurements of the horn. This paper starts by presenting a solution to the particle ejection interference. Next, the use of reflective tape in USMW is analyzed. This is first done by a theoretical analysis using a spring-damper-mass harmonic oscillator analogy, followed by analyzing experimental data, and finally using the experimental data to evaluate the fit of the theoretical analogy.

2. EXPERIMENTAL SETUP

The vibrations of the horn were measured at the bottom of the horn during welding. The welding machine was a Schunk Sonosytems LS C longitudinal welding system with a 20 kHz operating frequency and a generator with a maximum power of 4 kW, with a half-lambda steel step horn. It is important to note that the welding frequency is not a precise 20 kHz, but rather consists of a frequency band, and that the exact peak frequency can vary between 20 kHz and 20.3 kHz. The measurements were done using a Polytec CLV-2354 compact laser vibrometer, a Fireface UC with 192 kHz sampling rate, and the data was processed using MATLAB and the ITA-TOOLBOX. Another important aspect is that the electro-mechanical excitation contains nonlinear processes, so that other frequencies than the nominal operating frequencies are generated, commonly the harmonics of the excitation frequency.

The performance of the tape and the influence of particle ejection were studied in two different measurement series. To minimize the influence of particle ejection, an industrial vacuum cleaner was connected to a 3D printed adapter piece, which was mounted on the anvil. The adapter and the results are shown in section 3. The measurements were done on the bare surface, which was thoroughly polished for these measurements. No reflective tape was used in these measurements, and considerable effort was put to align the laser with the vibrating surface.

center

bottom

Figure 1: Horn, and the two measurement points used in this study

To investigate the effect of using tape on the measurements, the vibrations of the bottom of the horn were measured during welding, both with and without tape. In addition, to replicate industrial welding conditions, in which down-time between subsequent weldings is minimized and the horn cannot cool down much between welds, the bottom of the horn and the tape were heated using a Petra Electric 1600 blow dryer. This was also done at the center of the horn. Furthermore, since the temperature of the horn and its vibrations change during welding, the vibrations of the bottom of the horn were also measured during “free run”, in which the horn vibrates in the air without contact to any other surface. This was done without tape, with tape, and with heating of the tape as well, both at the bottom of the horn and at the center of the horn. The measurement positions are shown in Figure 1. The room temperature was between 25°C and 30°C. The welding measurements were done on the afternoon of one day, and the free run measurements on the morning of the next day.

The tape measurements were done without the use of the vacuum measurement setup, which was not available on that day.

Throughout these measurements, the temperature of the tape was also recorded using a Compact Thermography Camera VarioCAM ® hr research 780 S, manufactured by InfraTEC GmbH. The retroreflective tape used was 3M 7610 High Gain Reflective tape, a retroreflective plastic-based tape with a temperature resistance of 79°C for continuous exposure and 121°C for intermittent exposure, as specified by the manufacturer. The measurements with and without tape were done on the same point of the horn: first, the measurements without tape were done. Then, tape was added on the horn on the same position previously measured, and the tape was heated when applicable. This was repeated at the different measurement points.

The welding parameters were 1250 N welding pressure, 22 µm vibration amplitude, and welding was energy-controlled with an energy setting of 1800 Ws, which led to welding times of about 1.2 s. The workpieces were copper sheets with dimensions 105mm x 45mm x 0.5mm thickness for the tape measurements, and 125mm x 45mm x 0.5mm for the vacuum measurements. For the free run measurements, the same amplitude of vibration was chosen, and the horn vibrated for 0.7 s. For the vacuum measurements, 120 welds were welded. For the tape measurements, the number of welds made are listed in Table 1. In this paper, measurements without tape, with tape and heating, and with tape without heating, will be referred to woT, wTwH, and wTwoH respectively.

Table 1: Number of measurements done for each case of the tape measurements

Bottom welding woT wTwoH wTwH Free run woT wTwoH wTwH 12 13 10 7 5 7

Center welding woT wTwoH wTwH Free run woT wTwoH wTwH 3 7 7 6 5 5 3. MEASUREMENT SETUP FOR BOTTOM OF HORN

- g 2 8 (pasyeusou) Koen 06 08 Time(s) 04 02

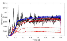
To measure the vibrations of the horn as close to the welding site as possible, and avoid damping of these vibrations in the horn, one might want to measure the vibrations at the bottom of the horn, as shown in Figure 1. Figure 2 (a) shows the influence of ejected particles on some such measurements: although most of the measurement is okay, the signal is distorted over a large area in the middle of welding. The possibility of such distortions during welding make measurements at the bottom of the horn error-prone, especially due to how long the distortion occurs, and a monitoring system based on that position would be unreliable. Figure 2 (b) shows the plot of 40 measurements done with the use of this setup. As can be seen in the figure, there are still some peaks in the beginning of welding, but almost none during the later stages of welding. Furthermore, they occur over very short periods of time, leaving most of the signal usable. The data measured in this way has already been used in [5] to monitor the progress of welding.

(a) (b) Figure 2: (a) Distorted measurements due to particle interference.(b) 40 measurements with the

suction system

To decrease the number of particles remove these particles before they can interfere with the laser beam, a vacuum cleaner was used to suck the particles away. The vacuum cleaner was connected to a custom-made 3D-printed adapter, which was mounted on the anvil as shown in Figure 3. The inner workings of the adapter were optimized for a directed airflow to extract the particles from the path of the beam.

Suction systems are also used in industrial applications of USMW to prevent the generated particles from falling onto the welded parts. Metal particles within battery cells could lead to complete failures or increased aging of the cell. Similar setups can be found for many other applications of USMW. The developed suction system not only prevents the precipitation of particles on the workpieces, but also captures the particles in a directed air flow, which ensures an undisturbed optical axis at the measuring point of the vibrometer.

Xr

Figure 3: Measurement setup at the bottom of the horn 4. TAPE VIBRATIONS: THEORETICAL ANALYSIS

To better understand the vibrations of the tape bonded to a moving horn, a theoretical analysis is done. The tape is assumed to be a spring-mass-damper system connected to a moving base, the horn, as shown in Figure 4. Here, we assume that the tape moves linearly, and model k and c act as a linear spring and damper, although the properties of the viscoelastic adhesive might be different. Furthermore, since the time scale for heat propagation is much larger than a period of the welding frequency [4], we assume that k and c vary linearly with temperature, and that the temperature dependence can be studied by decomposing the measurements into multiple temperature-constant segments. We also assume that the tape behaves linearly in the accelerations applied.

04 02 03 04 06 08 4 2 ain,

Figure 4: Spring-mass-damper model with

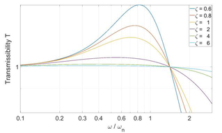
Figure 5: T vs frequency and damping ratios

moving base

The solution to such a case is taken from [6]. For a horn movement of 𝑥 𝐻 (𝑡) = 𝐴 sin (2𝜋𝑓∗𝑡) , the steady state vibration of the tape will be:

(1)

𝑥 𝑇 (𝑡) = 𝑇∗𝐴 sin (2𝜋𝑓∗𝑡+ 𝜙)

where 𝑓 is the frequency of vibration, 𝐴 is the amplitude of displacement at frequency 𝑓 , 𝑡 is time, 𝑇 is the motion transmissibility factor, and 𝜙 is the phase shift between 𝑥 𝐻 and 𝑥 𝑇 .

From this analysis, it is expected that the tape will move at the same frequency as the horn, with an amplitude difference of a factor 𝑇 , and a phase difference of 𝜙 . 𝑇 and 𝜙 can be calculated from the following equations:

0.5

3

2

2𝜁( 𝑓

1 + (2𝜁 𝑓

𝑓 𝑛 )

𝑓 𝑛 )

𝜙= tan −1

2

(2) (3)

𝑇=

2

2

1 − 𝑓 2

𝑓 𝑛 2 + (2𝜁 𝑓

(1 − 𝑓 2

+ (2𝜁 𝑓

𝑓 𝑛 )

𝑓 𝑛 2 )

𝑓 𝑛 )

(

)

1

2𝜋 √ 𝑘

𝑐

where 𝑓 𝑛 =

𝑚 is the natural frequency of the system, and 𝜁=

2√𝑘𝑚 is the damping ratio.

This work will focus on using the transmissibility 𝑇 , which is easier to measure than 𝜙 , and leave 𝜙 out of this work. 𝑇 can be plotted for different values of 𝑓𝑓 𝑛 ⁄ and 𝜁 . Figure 5 shows some values of 𝑇 versus 𝑓𝑓 𝑛 ⁄ , for different values of 𝜁 . Some points about the relationship between 𝑇 , 𝜁 , 𝑓𝑓 𝑛 ⁄ , 𝑐 and 𝑘 should be noted:  for the same 𝑓𝑓 𝑛 ⁄ , increasing 𝜁 will decrease 𝑇 ;  starting at 𝑓𝑓 𝑛 ⁄ <<1, for the same 𝜁 , increasing 𝑓𝑓 𝑛 ⁄ will first increase 𝑇 until a maximum 𝑇 is reached, after which 𝑇 will decrease;  for all values of 𝜁 , 𝑇≤1 for 𝑓𝑓 𝑛 ⁄ > 1.42 . 𝑇= 1 for 𝑓𝑓 𝑛 ⁄ ≈1.415.  decreasing 𝑘 increases 𝜁 and decreases 𝑓 𝑛 , thus increasing 𝑓𝑓 𝑛 ⁄ ;  increasing 𝑐 increases 𝜁 , and does not affect 𝑓𝑓 𝑛 ⁄ . Increasing the temperature of a solid usually makes it softer, thereby decreasing its stiffness 𝑘 and increasing its damping 𝑐 . Since 𝑘 and 𝑐 are temperature-dependent, and based on the above points, this makes 𝑇 both frequency and temperature dependent.

In addition, though 𝑓 𝑛 is not known, it is possible to estimate its order of magnitude. It is expected to be much larger than the frequencies studied in this paper. This is because this tape is routinely used for NDT measurements, which have frequencies in the MHz range, and it would be inappropriate for a measurement tool to have a resonance frequency lower than the frequencies it is used to measure, as this would greatly affect the measurement results. Furthermore, [3] found the resonance frequency of the tape to be around 3 MHz.

5. MEASUREMENT RESULTS

5.1. Temperature measurements Figure 6 shows the temperature of each measurement, both during welding and free run, at the bottom and center of the horn, and with and without heating the tape - which is the same as the temperature without tape. During welding, the temperature at the bottom of the horn increases and reaches around 45°C-50°C without prior heating, and about 70°C with preheating. At the center, the temperature during welding without heating is almost constant. Some temperatures with heating increase until over 60°C, which is probably measurement errors, as these values are equal to the temperatures at the bottom of the horn. The free-run measurements also have constant temperature. All temperatures measured are below the maximum recommended temperature of the tape.

During free-run, the heated tape reached temperatures between 50°C and 58°C, which replicates the welding temperatures without prior heating. Since the vibrations during free-run are also constant once steady state is achieved, as seen in Figure 7, this makes the free-run cases good study points for constant-temperature, steady state vibrations. The free-run cases without heating will have room temperature, and are not included in the plot.

Start of vibrations Start of vibrations

Ey pea 5 * wei btm wat retag btm Two Py toe boon ww 0 02 0 06 ae + 12 44 Tie

(a) (b) Figure 6: Temperature of the tape during welding and free run, at the (a) bottom and (b) center

5.2. Vibration measurements during welding Figure 7 shows the positive envelopes of the vibrations of the horn with and without tape during welding, at the bottom and center of the horn. Before taking the envelope, the data had been filtered with a 1 kHz band-pass filter centered on the welding frequency. The envelopes were smoothed using a moving average with window size 0.05 s.

Looking at the amplitude of wTwoH and wTwH, and assuming that the vibrations of the horn were the same in both cases, which is a safe assumption it would seem that the vibrations with heating are consistantly larger than those without heating.

‘Temperature {°C} poegeerg 8 wing wTwoH —weldng ww — tos wTwH 02 04 06 ost Time fs)

(b) Figure 7: Envelope of the vibrations during welding at the bottom(a) and center (b)

(a)

Unfortunately, the measurements without tape encountered too many problems – which the tape should help reduce- and could not be used to track the amplitude in time. Instead, the comparison of the amplitude of woT, wTwoH and wTwH measurements is deferred to the free-run analysis.

Figure 8 (a) shows the frequency plots for one measurement of each case (woT, wTwoH and wTwH), from 0.2 s to 0.9 s of welding. This time range covers almost all relevant stages of welding in this application. For clarity, only a measurement of each case was plotted, although all measurements were checked and showed the same pattern as shown in the figures. All three cases show frequency peaks at the welding frequency and its harmonics, as well as at 70 kHz and 90 kHz. Measurements woT and wTwoH also show peaks at 10, 30 and 50 kHz, which could be the result of intermodulation. Furthermore, compared to the case without tape, the measurements with tape show noise floors lower by about 5 to 10 dB.

PR ar a

Te ieee tates ‘Te Te eran zo ie fro "Frequency (tz)

Figure 8: (a) Frequency plot from 0.2s to 0.9s of welding at bottom and (b) at 80 kHz0.7s to 0.8s of welding

Figure 8 (b) shows a frequency plots around the 3 rd harmonic of the welding frequency, ~80 kHz, for a single measurement taken from 0.7 s to 0.8 s of welding. The figure shows a main peak framed by sidebands. Compared to the peak woT (80.84 kHz), the heated tape is shifted to slightly lower frequencies (80.78 kHz), while the non-heated tape is slightly higher (80.87 kHz). Except for these shifts, the frequency plots of woT, wTwoH and wTwH are almost exactly the same. Similar patterns were found at the welding frequency and its first and second harmonics, as well as at the center of the horn (not shown). The third harmonic was shown rather than the other frequencies because the frequency difference is more drastic in it: due to the nature of a harmonic, small differences in the main frequency are amplified at the harmonics.

To check for any time-dependence, the time 0.2 s to 0.9 s was cut into smaller 0.1 s segments with 0.05 s overlap, and the frequencies of the peaks around 20 kHz and 80 kHz was found for all measurements. These are shown in Figure 9. From the figure, the frequencies of the peaks woT and wTwoH coincide, while the peaks of wTwH are slightly shifted towards lower frequencies. Furthermore, though the frequencies decrease with welding time, the shifts are constant in time, indicating that this shift is not welding time-dependent. As for the decrease in frequency with welding time, this is a natural occurrence of USMW, and is due to the change in resonance frequency of the complete oscillating system during welding.

eisakage PEASE AR ER

(a) (b) Figure 9: Frequency of the peaks around (a) 20 kHz and (b) 80 kHz during welding

From these plots, it would seem that the tape does not change the frequency content of the measurement significantly, other than a small shift in frequency of the peak. The frequency shift itself is acceptable, as it false within the range of operation of the USMW machine, and such a shift should be accounted for when monitoring welding anyway. The tape also seems to perform linearly across frequencies, showing the same effect at both the welding frequency and the highest measured harmonic.

5.3. Vibration measurements during free run To look at the amplitude of vibrations around 20 kHz during free run in the time domain, the data was filtered with a 1 kHz band-pass filter, then the positive envelope of the signal was taken.

(a) (b) Figure 10: Vibrations of the (a) bottom and (b) center of the horn at 20 kHz during free run

First, one can notice that the general shape of the lines is conserved when tape is added and when it is heated. Furthermore, the figures show that introducing reflective tape leads to higher amplitudes than the bare-surface measurement, and that heating the tape leads to a higher amplitude of vibration than not heating the tape. In addition, the heated tape shows more variability than the non-heated tape, which could be due to the different temperatures of the measurements.

A frequency plot of the steady state vibrations at the center, from 0.4 s to 0.6 s, is shown in Figure 11. It is clear that using reflective tape decreases the noise level in the measurement, both with and without heating. Furthermore, the welding frequency and its harmonics are clearly visible in all cases. Looking at the 20 kHz vibrations, as was the case during welding, the plots overlap almost perfectly, except for frequency shifts, the patterns of which are similar as during welding. Similar shifts were found for the harmonics as well (not shown).

(a) (b) Figure 11: (a) Frequency plot of the free-run steady state vibrations at center and (b) at 20 kHz

Unfortunately, the vibrations of the harmonics at the bottom (not shown) were too noisy, even with the use of tape, maybe due to improper handling of the tape. For this reason, the analysis of the harmonics will be done for the measurement at the center, and are shown in Figure 12.

The measurements at the center of the horn without tape were also problematic at the harmonics, potentially because the surface of the horn was not polished enough. The measurements at the center with tape were usable. As can be seen in Figure 12, the curves with and without heating have the same general shape. As for the amplitude, the heated tape had consistently lower amplitudes as the non-heated tape. . This is the opposite of what happened at 20 kHz. This attenuation at higher temperatures cannot be explained by the temperature-dependence of attenuation in steel, since the 20 kHz vibrations do not show such an attenuation. This behavior is therefore attributed to the tape.

(a) (b) (c) Figure 12: (a) 40 kHz, (b) 60 kHz and (c) 80 kHz at center during free run 6. COMPARISON OF THEORY AND EXPERIMENTAL RESULTS

To see how well the spring-damper-mass oscillator analogy describes the movement of the tape, the experimental data is compared to the expectations from the theory. This is done in two parts: analyzing the results at the welding frequency at both the center and the bottom of the horn, and analysing the welding frequency to the harmonics at the center of the horn.

From the 20 kHz vibrations during free-run measurements at the center and bottom, the transmissibility ratios, defined as 𝑇 𝑤𝑜𝐻 = 𝑥̅ 𝑤𝑇𝑤𝑜𝐻 𝑥̅ 𝑤𝑜𝑇 ⁄ and 𝑇 𝑤𝐻 = 𝑥̅ 𝑤𝑇𝑤𝐻 𝑥̅ 𝑤𝑜𝑇 ⁄ and by equation (2), are calculated and shown in Figure 13. The transmissibilities were calculated by taking the envelopes of the measurements at steady state, between 0.4 s and 0.6 s, dividing them into smaller 0.01 s intervals containing 200 periods of 20 kHz each, getting the mean amplitude of each envelope in each of these segments, and then calculating 𝑇 for every combination possible.

(a) (b) Figure 13: T at 20 kHz (a) at center and bottom during free run and (b) at center during welding

6.1 Effect of the tape at the welding frequency From Figure 13, all cases show transmissibilities larger than 1, with the heated tape showing higher 𝑇 than the non-heated tape. This means that using the tape increases the amplitude of vibrations compared to the bare surface vibrations, and heating the tape increases them even more.

108 108 ‘Transmissibility T 101 Conte oH Contr ‘tom cit Botom wt

The different cases show differences which cannot be explained at the moment. During free run, 𝑇 𝑤𝑜𝐻 at the bottom are slightly larger than at the center. Since both tapes are at room temperature, this cannot be due to different temperatures. Furthermore, during free run, values of 𝑇 𝑤𝐻 at the bottom are larger than at the center as well. Since the temperatures reached by the center are similar to those reached by the bottom, and sometimes higher, this cannot be attributed to a temperature difference either. One possible explanation are the different accelerations applied on the tape at those two locations: Figure 10 shows that the horn velocities are higher at the bottom than at the center. Another potential difference is different amount of adhesion of the tape to the steel at these different points, maybe due to different surface conditions, so that the two situations are not comparable. A third point of difference is that the values for 𝑇 𝑤𝑜𝐻 at the center are much larger during welding than during free run, even though both have similar temperatures.

From these measurements, it would seem that measuring the vibrations of the horn using tape leads to an increase in amplitude of vibration compared to the bare-surface measurements. This increase is further amplified by heating the tape.

For the case without heating, since it is assumed that 20 𝑘𝐻𝑧≪𝑓 𝑛 , the amplification of vibrations of the horn is expected, as shown in Figure 5. This holds for any value of 𝜁 . As for the increase of amplitude with increasing temperature, it can be explained by a decrease in 𝑓 𝑛 and increase in 𝜁 , as described in Section 4. Figure 14 shows a scenario in which this is possible. As shown in the figure, there are multiple combinations of 𝜁 and 𝑓/𝑓 𝑛 which are solutions to this problem.

6.2 Effect of the tape at the harmonics According to Figure 12, and assuming that the bare-surface vibrations of the horn do not change with temperature, then it is expected that 𝑇 𝑤𝑜𝐻 > 𝑇 𝑤𝐻 at the harmonics. Furthermore, an increase in temperature leads to increasing 𝜁 and 𝑓 𝑛 , as described previously. A decrease of 𝑇 with increasing temperature is possible, if the decrease due to the change in 𝜁 is larger than the increase due to the change in 𝑓 𝑛 . This would depend on how 𝑐 and 𝑘 change with temperature.

Figure 14: Two of the multiple solutions for increasing T with increasing temperature 6.3 Discussion of analysis The theoretical analysis of the spring-mass-damper system was able to offer explanations to some of the aspects found in the measurements, namely the amplitude gain seen with tape and heated tape at 20 kHz, and the damping of heated tape at the harmonics. These explanations are offered as possibilities, not hard explanations. Some aspects could not be explained.

For more certainty, measurements of the vibrations of the horn at the harmonics without tape would be needed, or more information about the temperature-varying properties of the tape, including its viscoelastic adhesive. Another option would be to use machine learning algorithms, such as Matlab’s tfest function, to fit transfer functions to the data, and use the transfer functions to estimate the parameters of the system.

7. CONCLUSIONS

In this work, the feasibility of measurements at the bottom of the horn during welding using laser vibrometry was investigated, by studying two aspects which currently hinder it: the interference of particles ejected by the workpieces with the laser beam, and by studying the impact of the use of retroreflective tape on the measurements. For the former, a measurement setup consisting of a powerful vacuum cleaner and a custom made adaptor successfully lowered the incidence of interference of particles with the beam. For the latter, the vibrations of the horn were measured with and without reflective tape at both the bottom and the center of the horn, during both welding and free run, and with and without heating of the tape to study the impact of temperature.

In the frequency domain, the tape did not have any major influence on the data except for lowering the noise floor, which is advantageous. The presence of tape and its heating slightly shifted the frequency of the peak of the welding frequency and its harmonics, but the extent of the shift is negligible for practical purposes. The amplitude of the peaks was not tracked.

In the time domain, at the welding frequency, using reflective tape led to an increase in the amplitude of the vibrations measured. This increase was further amplified when the temperature of the tape was raised. At the harmonics, an increase in temperature led to a decrease in amplitude of vibration. The difference in response to heating is believed to be due to the behavior of the material parameters of the tape at different temperatures. At all the frequencies studied, the general trends of the envelopes of the vibrations without tape seemed to be conserved, both with non-heated and heated tape, indicating they could be used to monitor welding if reflective tape is used for the measurement. The biggest difference was a difference in amplitude of vibration.

The measurements were also compared to a theoretical spring-mass-damper system connected to a moving base. According to this model, the tape would move at the same frequency as the base, but with a change of amplitude and phase shift. This model could explain some of the behavior of the tape during welding, while others could not be explained. For this reason, although the model studied could not be disproven, it could not be proven either. Further knowledge of the mechanical parameters of the tape and how they change with temperature are still needed, for example in challenging the assumptions of linearity of the adhesive.

Practically, the conclusion is that measurements at the bottom of the horn are feasible. The use of retroreflective tape is also possible, though a more in-depth investigation would bring more assurance. Caution should be taken when choosing parameters for automated monitoring, as changes in temperature can lead to different amplitudes of signals. It is also possible to use other types of vibrometers which might work without the use of tape, such as SWIR-vibrometers, which are more powerful than the vibrometer used in this study, or the new generation of Polytec vibrometers with QTec technology, which get better quality signals than older generation vibrometers even without tape. 8. ACKNOWLEDGEMENTS

The authors would like to thank Mark Müller-Giebeler and Marco Berzborn for the discussions which furthered this research, Chalotorn Möhlmann for his help in plotting the temperature plots, Lucas in his help in providing the temperature measurements and operating the welding machine, Oliver Pütz and Isabel Balz for the preparation and setup of the suction system, and Xiaokang Pan for the conduction of the suction measurements. 9. REFERENCES

1. Gester, A., Wagner, G., Pöthig, P., Bergmann, J.P. & Fritzsche, M. Analysis of the oscillation

behavior during ultrasonic welding of EN AW‑1070 wire strands and EN CW004A terminals. Welding in the world, 66 , 567–576 (2022). 2. Xiao, T., Zhao, S., Qiu, X., Halkon & B. Using a Retro-Reflective Membrane and Laser

Doppler Vibrometer for Real-Time Remote Acoustic Sensing and Control. Sensors , 21(11) , 3866 (2021). 3. Hasanian, M. & Lissenden, C. Assessment of coating layers on the accuracy of displacement

measurement in laser Doppler vibrometry. Proceedings of AIP 1806 , 2017. 4. Liu, Z., Kannatey-Asibu, E., Wang, Y. & Epureanu, B. I. Nonlinear Dynamic Analysis of

Ultrasonic Metal Welding Using a Harmonic Balance Method. Procedia CIRP. 76 , 89-93, (2018). 5. Abi Raad, E., Joyeux-Alcindor, T. & Vorländer, M. Transfer function analysis of welding stage

models in Ultrasonic Metal Welding. Proceedings of DAGA2021 . Vienna, Austria, August 2021. 6. Harris, M.C. & Piersol A. G. Harris Schock and Vibration Handbook , 5 th Edition, McGRAW-

HILL.