Welcome to the new IOA website! Please reset your password to access your account.

Resonance mode analysis of finite plate strip with acoustic black holes: the gap between bandgap and attenuation band Bing Han, Hongli Ji 1 , Jinhao Qiu State Key Laboratory of Mechanics and Control of Mechanical Structures, Nanjing University of Aeronautics and Astronautics Yudao Street 29, Nanjing 210016 , China Li Cheng Department of Mechanical Engineering, Hong Kong Polytechnic University Hung Hom, Kowloon 999077, Hong Kong, China ABSTRACT Acoustic Black Hole (ABH) lattice structures show promise for achieving broadband bandgap in lightweight design. Existing ABH lattice research usually assumes that the bandgaps of infinite periodic structure are roughly the same as the attenuation band with strong energy attenuation in the finite counterpart. This work is concerned with comparison of the real attenuation bandwidth of finite ABH periodic structures and the bandgap of the infinite counterpart. The plate strips consisting of different numbers of periodic ABH elements are considered in the scenarios with and without additional damping layer. It is observed that the bandgap-predicted attenuation band is split into two narrow attenuation bands, so that the periodic ABHs fails to ensure a broadband and continuous attenuation in the finite scenarios. Results show that there are resonance modes of finite plate strips with ABHs falling into the bandgap due to the boundary reflection and would result in high transmission peaks within the bandgap-predicted attenuation band. This unexpected phenomenon suggests the gap between the attenuation bandwidth of finite periodic structure and the bandgap of the corresponding infinite one. Analysis suggests that the resonance mode of finite plate strips, which reduces the bandgap-predicted attenuation bandwidth, can be predicted and tuned by changing the structure details. 1. INTRODUCTION

In recent years, Acoustic black hole (ABH) structures have attracted increasing attention, which, through effective wave manipulation, enable broadband vibration and noise control applications [1- 6]. By tailoring the structural thickness to a power-law variation profile, the ABH acts as a wave trapper to entail a gradual reduction of the phase velocity of flexural waves. As the effect of single ABH is limited by the so-called cut-on frequency [2, 7], efforts were made to extend the effective range of ABH to lower frequencies by proposing ABH lattice structures, just as the well-known phononic crystals (PCs) and acoustic metamaterials (AMMs)[8, 9]. ABH lattice structure was first proposed in one-dimensional (1D) beam structure for bandgap (BG) generation[7, 10]. Subsequently, various 1D ABH configurations, including folded beams [11], composite ABH beam and annular ABHs[5], have been proposed and also investigated numerically and experimentally for improving BG performance, especially for widening BG. Moreover, ABHs were embedded into two-

1 Corresponding author: jihongli@nuaa.edu.cn

inter noise 21-24 AUGUST SCOTTISH EVENT CAMPUS GLASGOW

dimensional (2D) plates for the same purpose with the consideration of overall structural stiffness [12]. PCs and AMMs commonly realistic structures in practice only contain a limited number of unit cells, contrary to the infinite lattice traditionally used for BG prediction. The corresponding band in the finite lattice offering strong energy attenuation is referred to as attenuation band (AB)[13]. Existing literature has always shown that the two bands, BG and AB, are roughly the same. This offers a very convenient mean for structural design based on BG analysis. In practice, however, the dynamic behavior of the finite structure is influenced by their dimension and the boundary condition. It is inevitable that there exist some resonance modes within the predicted BG range, which impairs the AB performance [14]. The previous researches also showed that these resonance modes can be altered by disturbing the structure details. However, the mechanism behind, which would help to find suitable solutions for eliminating this barrier, remains obscure. Motivated by this, the aim of this work is twofold: (i) to uncover the gap between the AB in a finite 2D ABH lattice and the BG of the infinite counterpart; (ii) to investigate the underlying mechanism. Moreover, considering the general strategy for maximizing the ABH effect by adding a damping layer in the ABH indentation, this work is carried out in both the pure ABH design and the damped one.

2. BAND SRUCTURE OF ONE-DIMENSIONAL PERIODIC ABHs

The irreducible unit cell of the considered infinite periodic ABH plate strip is shown in Fig. 1. In the one-dimensional scenario, the Bloch-Floquet boundary conditions are imposed at the pair of boundaries perpendicular to the x -axis, as marked in Fig. 1(a). In this work, each periodic cell contains an ABH indentation with diameter D =0.1 m along the central line of the strip. Taking the center of the ABH as the origin of the local coordination, the thickness variation along the radial direction of the ABH is defined by h ( r ), expressed in Fig.1(b), with a minimum thickness h m of 0.5 mm and power exponent m =2. By default, the center of the ABH satisfies the parameter relationship a 1 = a 2 to construct a symmetric unit cell. The uniform part of the plate strip is 5.18mm thick. The plate is made of aluminum with a mass density of 2820 kg/m3, Poisson ratio of 0.33 and Young modulus of 71GPa. As the ideal ABH effect is unrealistic, the dissipation materials are usually combined with ABH design for practical application[15-17]. Therefore, with lattice constant a =0.14 m, the damped ABH unit cell is also investigated, apart from the pure ABH unit cell. As illustrated in Fig. 1(b), a free damping layer is bonded to the back center area of ABH indentation with thickness h d =0.5 mm and radius r d = 0.025 m. The damping material is with a mass density of 1780 kg/m3, Poisson ratio of 0.45 and Young modulus of 0.1 GPa. The complex modulus E = E (1+i  d ) is utilized for introducing a damping effect with  d =0.2.

Figure 1: (a) Band structure analysis model and (b) geometric design of ABH unit cell.

(a) Floquet periodicity Boundary Condition (b) Free Boundary Condition ra Dizi > Damping layer

There are usually two methods for analyzing complex-valued dispersion curves. One option deals with real-valued frequencies and complex-valued wave numbers[18], while another one is used for analyzing the propagation of free wave with possessing complex-valued frequencies[19]. Hereinafter, the ω ( k ) method is employed to clearly present the band structure of propagating wave (P-type with the pure real-valued wavenumber) in the proposed ABH plate strip. Moreover, the results from the k ( ω ) method is then analyzed for exposing the characteristics of attenuating wave (C-type with the wavenumber in a general complex form Re( k )+ i Im( k ) , | Re( k ) |  n   a and Im( k ) ൐0 complex wavenumber, and A-type with the wavenumber in the form of nπ/a + i Im( k ), | Im( k ) |൐0 and n being integer or zero[20]).

2.1. Band Gap Analysis Based on ω ( k ) Method Figure 2 displays the condensed frequency band structure of the proposed periodic ABHs strip with Re( ω ) obtained from the ω ( k ) Method[21] for the pure ABH unit cell and damped one. The condensed band structure is calculated to reveal the flexural wave BG through two processes: (i) the torsional modes are removed, since only flexural waves are considered for the AB generation in such finite ABH plate strip [13]; (ii) considering the coupling between the in-plane and flexural modes, the mode polarization in the z direction is introduced to highlight the flexural modes as:

𝑃 ௪ ൌ ׬ |௪| మ ௗ௏ ೡ

, (1)

׬ ሺ|௩| మ ା|௨| మ ା|௪| మ ሻௗ௏ ೡ

in which u , v and w are the displacement in x , y and z directions, and the integral domain covers the entire material volume V in the periodic cell. Both unit cells have the same size and ABH profile. The greyscale represents the value of P w . It is obvious that there objectively exists the coupling between flexural modes and in-plane modes, although the focused point is the propagation of flexural waves. When the in-plane motion of a mode becomes dominant, P w becomes small, as shown in Fig. 2.

icy f [Hz] 5000 4000 a=0.14 m a=0.14 m (Damped)

Figure 2: Condensed band structures of (a) undamped and (b) damped periodic ABHs strips in the reduced Brillouin zone. Grey stripes mark the BGs. As shown in Fig. 2(a), the undamped unit cell shows four BGs undamped, in which the one around 2200 Hz is insignificant due to the strong coupling between the flexural and in-plane modes. Although all the four BGs are crossed over by the characteristic lines corresponding to the in-plane modes, these in-plane modes do not affect the other three BGs because the out-of-plate displacement of the in-plane modes is small. Significantly, the introduction of a damping layer alters the band structure.

000 Frequet ie 1000 0.5 k [n/a] 0.5 k [x/a]

In detail, the BG around 2200 Hz is closed, when a new BG spanning frequency range from 2440 Hz to 2680 Hz opens. The high-frequency BGs move to lower frequency with the changed bandwidth. This variation is reasonable due to the fact that the additional damping layer influences the characteristic of local stiffness in the ABH indentation.

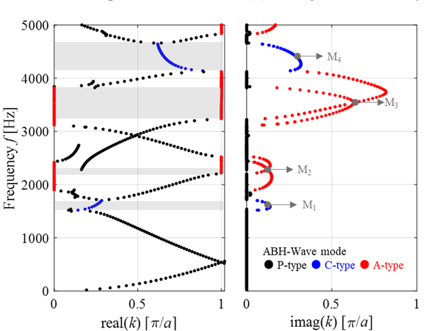
2.2. Band Gap Analysis Based on k ( ω ) Method To further uncover the characteristic of wave propagation, the complex band structure is calculated by using the k ( ω ) method based on FE analysis[18] for the considered unit cell. The results of the undamped ABH unit cell are shown in Fig. 3. The imaginary part of the complex wavenumber k represents the decay rate of the wave during propagation. The larger its absolute value is, the faster the wave decays. Only the modes with P w larger than 0.5 are retained to facilitate the analysis. By distinguishing the three types of waves, it is found that the BG spanning the frequency range from 2200 Hz to 2280 Hz, as well as that from 3240 Hz to 3840 Hz is formed with A-type wave, which satisfies the Bragg condition. These two BGs are therefore called Bragg BGs. The other two with C- type wave without satisfying the Bragg condition are categorized as locally resonant BGs. As the eigen-modes shown in Fig. 4, there are two evanescent flexural waves. Furthermore, it is observed that the wave motion inside the four BGs is accompanied by the local resonance in the ABH areas, which agrees with the conclusion from a previous study[12]. For the Bragg BG, there only exists a crossing point, which corresponds to two different evanescent wave modes. However, these two different evanescent wave modes possess the same Im( k ) throughout the locally resonance BGs.

Frequency f° 1000 3 > M; y M, ABH-Wave mode @ P-type @ C-type @ A-type 0.5 1 real(k) [7/a] ° 0.5 imag(k) [z/a]

Figure 3: Complex band structure of the infinite undamped periodic ABHs.

Figure 4: Representative mode shape of the flexural modes labeled in Fig.3.

@ ™M (b) M; = e Am oe

The BG ranges of two cases are listed in Table 1 for clear comparison. By scrutinizing the complex band structure of the damped ABH unit cell, it is found that the emerging BG from 2440 Hz to 2680 Hz is a local resonance BG. The Bragg BG from 2940 Hz to 3540 Hz is partially accompanied by C- type waves, which though possess larger Im( k ). Unlike the undamped case, the narrowed local resonance BG ended at 4000 Hz shows much smaller Im( k ). As shown in Fig. 5, although the inserted eigenmodes within this locally resonance BG present local vibration, the vibration in the uniform region is also motivated. Therefore, compared with the mode M 4 in Fig. 4(d), the weakened local resonance finally results into not only the narrow BG but also the lower decay rate. Moreover, the Bragg BG from 4600 Hz to 4980 Hz of the damped case shows that the two different flexural modes possess the same Im( k ) throughout the BG, which is different from the characteristic of decay rate shown in Fig. 3.

Figure 5: Complex band structure of the infinite damped periodic ABHs. Table 1: Band gap range of the undamped and damped periodic ABHs strips.

Undamped Damped (  d =0.2) Bragg BG

Local resonance BG

Bragg BG

Local resonance BG

(Hz)

(Hz)

(Hz)

(Hz) 2200-2280 1515-1700 -- 1500-1660 3240-3840 -- 2940-3540 2440-2680 -- 4130-4660 -- 3880-4000 -- 4600-4980 3. DYNAMIC CHARACTERISTIC OF FINITE ABHs STRIP

3.1. Transmissibility In order to verify the suitability of using the BGs for the prediction of ABs in the corresponding finite ABH strip, the transmissibility of the finite ABH plate strips containing different numbers ( N= 4, 5, 6) of periodic cells is calculated when the strip is subjected to the out-of-plane force at the left side under free boundary conditions. The transmissibility is defined as the ratio of the displacement at the receiving side to that at the excitation side. As shown in Fig. 6, the ABs with transmissibility smaller than -10 dB generally agree with the predicted BG ranges in Fig. 2(a) with a few exceptions. The most notable exception is that a high transmission peak appears in the BG around 3550 Hz. In other words, the BG-predicted wide AB is split into two narrow ABs in the finite strip, a phenomenon which is referred to as AB splitting. It is obvious that the peak that splits the AB does not shift significantly as the number of unit cells varies,

5000 | 5000 2000) ey 3 8 1000 1000 0 weet 0 0 0.5 1 0 0.5 1 real(k) [/a] imag(k) [z/a]

which agrees with the first criterion for the judgment of band-gap resonance in reference[20]. However, the peak value does not always decrease as the number of unit cells increases, which is in contradiction with the second criterion for the judgment of band-gap resonance widely used in the literature. Another transmission peak around 3325 Hz can also be observed within the BG, but only appears in the ABH plate strips when the N is a multiple of 5. The appearance of these transmission peaks actually damages the expected strong attenuation and broad attenuation frequency band.

Figure 6: Transmissibility of finite plate strips with different numbers of periodic ABH cells and the referenced uniform plate. The similar AB splitting also can be found for the damped case. As shown in Fig. 7, two significant peaks at 3278 Hz and 3390 Hz obviously reduces the bandwidth of the BG-predicted AB, which was expected to be 600 Hz. In addition, due to the weakened local resonance in the first BG, and also in the BG close to 4000 Hz, the transmission accordingly increases due to the reduced Im( k ) in Fig. 5 when compared with the undamped case. There is also another AB splitting for the BG from 4600 Hz to 4980 Hz. Strictly speaking, the fact is that the lower boundary frequency of this AB becomes larger due to the transmission peak being very close to the predicted lower boundary frequency.

40

20

-20 -10 0

Uniform N =5 N =5-Damped

-40

-60

0 1000 2000 3000 4000 5000 f [Hz]

Figure 7: Transmissibility of finite plate strips with different numbers of damped periodic ABH cells and the referenced uniform plate(gray strips marked the predicted BG of the damped case: green solid line).

3.2. Natural Modes Since Im( k ) represents the decaying property of the waves, waves with a positive Im( k ) cannot propagate infinitely in a periodic structure. In a finite strip with a small number of ABHs, the wave does not decay to zero, which results in wave reflection from the two structural boundaries. Since | Re( k ) |ൌ n   a with k being computed based on the Bloch-Floquet condition, the wave mode usually

Split frequency “= N=4 |--—-— N=5 N=6 fh Uniform 0 1000 2000 3000 = 4000-—Ss 5000 f [Hz]

does not satisfy the boundary condition in a finite strip. Therefore, resonance of the finite strip usually does not fall into the BG and the transmissibility is usually small due to the wave decaying. To uncover some special scenarios, in which the resonance of the finite strips can fall into the BG when some conditions are satisfied, the natural modes of the finite ABH plate strip are further investigated. As the natural modes shown in Fig.8 for finite strips consisting of N = 6 and 10 periodic unit cells, every ABH strip has two natural modes falling into the Bragg BG from 3240 Hz to 3840 Hz. The modes show that the unit cells in the middle part of the strip undergo very low vibration and the two cells at each end bridge the nearly static state in the middle cells to the free boundary condition on the edge. This suggests that the portion of the two boundary unit cells in the strip can be loosely regarded as an independent structure with approximately clamped-free boundary conditions with local standing wave created in this portion of the strip, which can be called boundary portion (see the regions marked by dashed boxes in Fig.8).

Figure 8: A pair of natural modes around 3550 Hz for finite plates with N = (a) 6 and (b)10 periodic ABH cells under free boundary condition. To further confirm this explanation, natural modes of the independent plate consisting of two unit cells are calculated with one side clamped and the others free, as shown in Fig. 9(a). Within the frequency range from 3240 Hz to 3840 Hz, one natural mode is found as shown in Fig. 9(b). It is obvious that the mode shape at 3535 Hz of this boundary portion presents the same characteristic as the mode deformation in two boundary unit cells indicated in Fig.8. Obviously, the necessary condition for the generation of resonance modes which split the AB is that the natural frequency of the boundary portion falls into the corresponding BG. For the above symmetric strips with length L being a multiple of lattice constant a , the boundary portion with two unit cells ( L b = 2 a ) satisfies the aforementioned condition. The transmission peak splitting the wide AB is the resultant effect of the two resonance modes so that it does not always decrease as the number of unit cells increases. Therefore, the fact that the resonance mode of a finite periodic design falling into the BG is determined by the natural frequency of the boundary portion also explains why the splitting frequency is not significantly affected by the number of unit cells in the strip.

[OK IGIOC 10) WOOCOBA [OISIGIOIOISIolorc Ic) [OXOIGIOIOIOIOIONC IC)

Figure 9: (a) Clamped-free supported plate with two periodic ABH unit cells and (b) natural mode within a narrow band from 3240 Hz to 3840 Hz.

@ ,=2*a=0.28m ©) Sree Clamped boundary Sree Sree

According to the above analyzed mechanism, the natural modes of the damped finite ABH strip are also investigated. Focused on the Bragg BG from 2940 Hz -3540 Hz, Fig. 10 shows the natural modes falling into this BG for finite strips consisting of N = 6 and 10 periodic unit cells. Although the characteristic of mode deformation almost coincides with the undamped case in Fig. 8, these two modes are with lower frequency due to the additional damping layers. Moreover, the middle unit cells present slight vibration rather than keeping static. It is therefore reasonable that the boundary portion ( L b = 2 a ) can be loosely regarded as an independent structure with one side being free and partial degree of freedom on the opposite side being constrained. As shown in Fig. 11, it has been found that, with one side simply supported, the natural mode of the boundary portion falls into the Bragg BG from 2940 Hz to 3540 Hz, which accounts for the fact that resonance mode of the finite periodic falls into the BG-predicted AB. The aforementioned estimation of boundary portion should be suitable for predicting the appearance of resonance mode within the BG-predicted AB, but it cannot be excluded that the assumed boundary condition for the boundary portion would vary with the structure detail of ABH strips, which should be a complex problem and needed to be further explored.

WOOO@m i OleloK 3-7 @ ©OOOOOOGM

Figure 10: A pair of natural modes around 3370 Hz for damped finite plates with N = (a) 6 and (b)10 periodic ABH cells under free boundary condition.

Figure 11: (a) Simply supported and free supported plate with two periodic damped ABH unit cells and (b) natural mode within a narrow band from 2940 Hz -3540 Hz. 4. CONCLUSIONS

By analyzing the BG of an infinite periodic ABH plate strip and the transmissibility of the finite counterpart, this work illustrates the gap between the ABs of a finite ABH strip configuration and the BG of the infinite counterpart: an unusual splitting phenomenon in the ABs of finite strip configuration. The revealed AB splitting phenomenon, with the appearance of a high energy transmission peak, disrupts the BG-predicted broadband and continuous ABs in the strip of finite size, which are usually assumed to coincide with the BG obtained from the band analyses on the corresponding infinite counterpart. Complex wavenumber analysis shows that there exist two kinds of BGs, in which one satisfies the Bragg condition. By scrutinizing the resonance mode characteristic of finite ABH strips, the results uncover the underlying mechanism of AB splitting: the emerging resonance peak within the BG-predicted AB as the results of a natural frequency of the boundary

L,=2*a=0.28m ee 3373 Hz Simply supported free (v=0,w=0) Sree

portion of the finite strip falling into the corresponding BG. The so-called boundary portion obviously depends on structural details, so that it is impractical to eliminate the resonance peak by merely increasing the number of periodic unit cells. Moreover, the analysis shows that the assumed boundary condition, which is used for the boundary portion to predict the resonance mode splitting the AB, is different for the undamped and damped ABH design. This work offers an understanding why there exists the gap between the AB of a finite structure and the BG of the infinite counterpart, which is helpful for achieving effective broadband energy attenuation in practical design. 5. ACKNOWLEDGEMENTS

This work is partially supported by the National Key Research and Development Program of China (No. 2021YFB3400100), the National Natural Science Foundation of China (Nos. 52022039), the Research Fund of State Key Laboratory of Mechanics and Control of Mechanical Structures (Nanjing University of Aeronautics and astronautics, Nos. MCMS-I-0521G03) and a Project Funded by the Priority Academic Program Development of Jiangsu Higher Education Institutions. 6. REFERENCES

1. Pelat, A., Gautier, F., Conlon, S. C. and Semperlotti, F., The acoustic black hole: A review of theory and applications. Journal of Sound and Vibration 476 , 115316, (2020). 2. Conlon, S. C., Fahnline, J. B. and Semperlotti, F. J. T. J. o. t. A. S. o. A., Numerical analysis of the vibroacoustic properties of plates with embedded grids of acoustic black holes. The Journal of the Acoustical Society of America 137 ( 1 ), 447, (2015). 3. Zhao, L., Conlon, S. C. and Semperlotti, F., An experimental study of vibration based energy harvesting in dynamically tailored structures with embedded acoustic black holes. Smart Materials & Structures 24 ( 6 ), (2015). 4. Zhou, T. and Cheng, L., A resonant beam damper tailored with Acoustic Black Hole features for broadband vibration reduction. Journal of Sound and Vibration 430 , 174-184, (2018). 5. Deng, J., Guasch, O. and Zheng, L., Ring-shaped acoustic black holes for broadband vibration isolation in plates. Journal of Sound and Vibration 458 , 109-122, (2019). 6. Ma, L. and Cheng, L., Sound radiation and transonic boundaries of a plate with an acoustic black hole. Journal of the Acoustical Society of America 145 ( 1 ), 164-172, (2019). 7. Tang, L. and Cheng, L., Broadband locally resonant band gaps in periodic beam structures with embedded acoustic black holes. Journal of Applied Physics 121 ( 19 ), 605, (2017). 8. Charles, C., Bonello, B. and Ganot, F., Propagation of guided elastic waves in 2D phononic crystals. Ultrasonics 44 Suppl 1 , e1209-1213, (2006). 9. Liu, Z. et al. , Locally resonant sonic materials. Science 289 ( 5485 ), 1374-1376, (2000). 10. Tang, L. and Cheng, L., Ultrawide band gaps in beams with double-leaf acoustic black hole indentations. The Journal of the Acoustical Society of America 142 ( 5 ), 2802-2807, (2017). 11. Gao, N., Wei, Z., Hou, H. and Krushynska, A. O., Design and experimental investigation of V- folded beams with acoustic black hole indentations. The Journal of the Acoustical Society of America 145 ( 1 ), EL79-83, (2019). 12. Tang, L., Cheng, L. and Chen, K., Complete sub-wavelength flexural wave band gaps in plates with periodic acoustic black holes. Journal of Sound and Vibration 502 , 116102, (2021). 13. Ji, H., Han, B., Cheng, L., Inman, D. J. and Qiu, J., Frequency attenuation band with low vibration transmission in a finite-size plate strip embedded with 2D acoustic black holes. Mechanical Systems and Signal Processing 163 , 108149, (2022). 14. Xiao, Y., Wen, J., Wang, G. and Wen, X., Theoretical and Experimental Study of Locally Resonant and Bragg Band Gaps in Flexural Beams Carrying Periodic Arrays of Beam-Like Resonators. Journal of Vibration and Acoustics 135 ( 4 ), (2013). 15. O’Boy, D. J., Krylov, V. V. and Kralovic, V., Damping of flexural vibrations in rectangular plates using the acoustic black hole effect. Journal of Sound and Vibration 329 ( 22 ), 4672-4688, (2010).

16. Georgiev, V. B., Cuenca, J., Gautier, F., Simon, L. and Krylov, V. V., Damping of structural vibrations in beams and elliptical plates using the acoustic black hole effect. Journal of Sound and Vibration 330 ( 11 ), 2497-2508, (2011). 17. Krylov, V. V., in International Conference on Noise and Vibration Engineering (ISMA) . (2012). 18. Wang, Y.-F., Wang, Y.-S. and Laude, V., Wave propagation in two-dimensional viscoelastic metamaterials. Physical Review B 92 ( 10 ), (2015). 19. Hussein, M. I. and Frazier, M. J., Metadamping: An emergent phenomenon in dissipative metamaterials. Journal of Sound and Vibration 332 ( 20 ), 4767-4774, (2013). 20. Xiao, Y., Wen, J., Yu, D., Wen, X. J. J. o. S. and Vibration, Flexural wave propagation in beams with periodically attached vibration absorbers: band-gap behavior and band formation mechanisms. 332 ( 4 ), 867-893, (2013). 21. Krushynska, A. O., Kouznetsova, V. G. and Geers, M. G. D., Visco-elastic effects on wave dispersion in three-phase acoustic metamaterials. Journal of the Mechanics and Physics of Solids 96 , 29-47, (2016).