Welcome to the new IOA website! Please reset your password to access your account.

Experimental investigation on a side-by-side twin rotor system in pusher configuration

Elisa de Paola 1

Department of Engineering, Roma Tre University Via della Vasca Navale 79, 00146, Rome, Italy

Alessandro Di Marco 2

Department of Engineering, Roma Tre University Via della Vasca Navale 79, 00146, Rome, Italy

Luana Georgiana Stoica 3

Department of Engineering, Roma Tre University Via della Vasca Navale 79, 00146, Rome, Italy

Leonardo Falcini 4

Department of Engineering, Roma Tre University Via della Vasca Navale 79, 00146, Rome, Italy

Roberto Camussi 5

Department of Engineering, Roma Tre University Via della Vasca Navale 79, 00146, Rome, Italy

ABSTRACT Growing interest in electric propulsion, together with the increased deployment of unmanned aerial vehicles, results in the consequent need for a clear understanding of the physical phenomena under propeller interactions which represent a primary noise source in multi-rotor configurations. To this purpose, the e ff ect of rotor-to-rotor interactions of a twin pusher propeller configuration at static thrust conditions was experimentally investigated through aerodynamic and aeroacoustic measurement campaigns. The propellers tested refer to the APC-8x45MR rotor with an 8 inches diameter. The aerodynamics and aeroacoustics of several configurations were investigated using PIV technique, and microphone measurements performed in an anechoic environment. The propeller speed was varied within a typical range in the applications for both co-rotating and counter-rotating layouts. To define critical relative positions, many tip-to-tip separation distances were considered

1 elisa.depaola@uniroma3.it

2 alessandro.dimarco@uniroma3.it

3 luana.stoica@uniroma3.it

4 leo.falcini@stud.uniroma3.it

5 roberto.camussi@uniroma3.it

a slaty. inter.noise 21-24 AUGUST SCOTTISH EVENT CAMPUS O ¥, ? GLASGOW

highlighting the general e ff ects. Owing to the deformation exhibited by the rotor wakes due to their proximity, the pressure and velocity signals are analysed to inspect the driving mechanisms responsible for the noise emission. Results provide an insight into the physics involved and show di ff erent types of interaction e ff ects on the fluid-dynamic field as a function of the propeller position, allowing the identification of the main critical configurations.

1. INTRODUCTION

In the last decades, the demand for air transportation has dramatically risen and the prevision for the next years shows that the air tra ffi c will double within 2034, [1]. Concerns about the growing impact on the environment revived enthusiasm for propeller technologies since e ffi cient propulsion systems are required to achieve a step-change in the performance of future aircraft designs. In this framework, interest in hybrid-electric [2] and fully-electric [3] propulsion made the investigation of propeller–propeller interactions more relevant. In terms of multi-propellers, propeller-blade, and propeller-airframe interactions, the noise problem has been addressed by extensive research principally focusing on CRORs, [4, 5], together with the problem of the integration of an isolated rotor over the airframe, [6,7]. Moreover, there exist several concepts of distributed electric propulsion that can be found in the literature, but most of them are analyzed for their applicability in designing boundary layer injection (BLI) configurations [8, 9]. Electric propulsion is expected to modify the classical frequency spectrum of the sound emission, being dominated by the fan noise. According to Rizzi et al. [10], the combination of multiple propellers has the potential to alter the relationships currently used between noise exposure and annoyance, concerning their combined amplitudes and phase modulation. Additionally, the use of systems that are flown without a human pilot aboard, known as UAVs, is nowadays rapidly growing in several industries and public applications with the consequent need for noise reduction methods, in consideration of the fact that propellers interactions are the primary source of noise of contemporary multi-rotor configurations. The noise from UAVs is mainly due to propellers, power sources, and the interaction between them. Spatial configuration plays an important role in the specific noise characteristics, and levels will vary for di ff erent arrangements. The electric motor tends to have a high-frequency noise and contributes to the overall sound level, as presented by Hu ff and Henderson who found that strong motor tones can be amplified by propellers loading from anywhere between 5-15dB, [11, 12]. Electrical motors can be a significant noise source at harmonics greater than the 5th blade passage frequency, [13]. However, it is not as significant as the one generated by the propeller, [14,15]. The noise emitted by UAV rotors has been experimentally and numerically investigated in many research studies, focusing on the directivity of the isolated propeller, [14], as well as on the e ff ect of the blade geometry and on the rotor-airframe interactions, [16]. Only a few studies can be found in the literature that examined the rotor-to-rotor interactions e ff ect on the aeroacoustic performance of modern UAVs. Intaratep et al. [15] performed acoustic measurements on a commercial quad-copter analyzing the noise from one, two, and four propellers. The radiated noise from multiple propellers did not follow a linear trend with the number of operational rotors, showing to be a ff ected by the phase angle of each tonal source. The acoustics level at static thrust conditions dramatically increases in broadband noise proportionally with the number of rotors operating. A di ff erent approach was followed by Tinney et al., [17], to compare the noise due to isolated rotors, quadcopters, and hexacopters operating at static thrust. Time-frequency analysis of the sound field demonstrates modulations of the pressure levels associated with the first few BPFs. Zhou et al. [18] performed an experimental investigation to evaluate the rotor interactions on the aerodynamic and aeroacoustic performances of small UAVs. The separation distance between rotors was varied, and a high-resolution PIV system was used to capture the flow structures and the corresponding vortex evolutions. The noise was found to increase proportionally with the azimuthal angle when the

separation distance reduces. Bu et al. [19] mainly focused on the influence of the propeller separation distance for various propellers in tractor configurations, at di ff erent rotational speeds and found that, for the cases studied, interactional e ff ects are mostly negligible. Though those previous studies have uncovered some significant aspects of rotor interactions, further research is needed to identify performance-enhancement strategies, which could be applied to maximize the installed performance of multi-propeller systems. The objective of this research is to supply the lack of information leading to a better understanding of the physical mechanism driving the noise emission of a twin-rotors system in pushing configuration, and how it is related to the propeller operating conditions and parameters. Pusher configuration was chosen because of the related benefits summarised as follows, [20]:

• Turbulent high-speed wake does not flow over the nacelle resulting in less drag; • The stream-tube will energize the flow in front of the propeller suppressing flow separation on the body; • Reduced cabin noise; • Unobstructed forward view in UAVs and normal force aft of the center of gravity increasing the stability;

To highlight the e ff ect of rotor-to-rotor interactions, a twin pusher propeller configuration at static thrust conditions was experimentally investigated through aerodynamic and aeroacoustic measurement campaigns. The propellers tested refer to the APC-8x45MR rotor with an 8 inches diameter. All data were acquired and compared both for isolated rotor configuration and considering the interaction between a dual propellers system to underline the influence of the relative position. Many tip-to-tip separation distances were investigated in order to inspect the outcome in terms of distortion of the flow field and acoustic impact aiming to define critical positions. The aerodynamics of several configurations was inspected using the PIV technique, varying the propeller speed within a typical range in the applications for both co-rotating and counter-rotating layouts. Microphone measurements were performed in an anechoic environment to study the influence of the rotor position on the noise directivity. For this purpose, two test set-ups were arranged: the first, having the sensors on an arc of circumference in the propeller plane, representing the azimuthal directivity, and the latter, in line and parallel to the propeller axis of rotation, describes the polar directivity. In both cases, the microphones were positioned at a distance from the source equal to 4D, being D the propeller diameter, treated as far-field. Some of the results along with a comparison with numerical simulation on the same set-up were discussed by the authors in [21]. The aim of the present study is to improve the previous research focusing on the aerodynamic e ff ects due to the mutual rotor position.

2. EXPERIMENTAL SETUP AND PROCEDURE

The propellers tested refer to the APC-B8x45MR two bladed rotor made up of fiberglass composite and characterized by a fixed pitch and a diameter (D) of 203 mm. From the datasheet provided by the manufacturer, the blade geometry is described by the low Reynolds number Eppler E63 airfoil with a Clark-Y similar airfoil near the tip. Each rotor was mounted in pusher configuration on two 1.5 D high separated cylindrical supports made of wood to prevent mechanical vibration interactions. Propellers were driven by a SunnySky X2212 III 1400Kv brushless motor. The rotational rate of each motor is regulated by a FullPower PRO electronic speed controller (ESC) which received time pulse signals from the digital output of a NI PXI-6143 board. A LabView program was implemented for the open-loop control on the rotational speed of the propellers, ω , which was varied between 5000 to 8000 RPM with a step of 1000 RPM, for both co-rotating and counter-rotating propellers. To define critical relative positions, many tip-to-tip separation distances are considered highlighting the general e ff ects. For both aerodynamic and aeroacoustic tests, the isolated rotor configuration was investigated as well, allowing data comparisons. The aerodynamics and aeroacoustics of several configurations

were experimentally analyzed using PIV technique and microphone measurements whose set-ups are described in the following section.

2.1. Aerodynamic tests The flow field velocity immediately downstream of the propeller was measured in the “G. Guj” fluid dynamics laboratory at Roma TRE University through planar 2D PIV measurements. A sketch of the experimental setup is shown in Figure 1. It consists of an Nd:Yag double-pulse laser (200 mJ / pulse at 10 Hz each) and a LaVision SX 4M CCD camera with a resolution of 2360x1776 pixels and a maximum frame rate of 15 Hz, equipped with Nikon lens characterized by a focal length of 50 mm. A Programmable Timing Unit (PTU) provides the trigger signals to synchronize the cross- correlation camera and the Nd-Yag laser, to allow the image acquisitions. The following Cartesian reference system is adopted: O-XYZ with the origin O in the intersection between the rotor disk and the rotational axis of the propeller chosen as reference. The X-axis is oriented radially and Z-axis is parallel to the axial direction. The instantaneous velocity fields were acquired on the wake side immediately downstream of the propeller, imaging an area of about 120x90 mm. The air was seeded with smoke particles having a mean diameter of about a few micrometers in order to correctly follow the flow field. A high uniform seeding density in the region of interest was achieved guaranteeing a correct cross-correlation analysis. Preliminary measurements using a Pitot tube showed that there is no significant modification in the stream tube area further from the second rotor. Hence, it was decided to investigate only the side closest to the second propeller and depicted in green in figure 1b. The PIV image analysis was carried out using the software Davis La Vision. 100 couples of images were acquired at the maximum frequency available from the PIV system to evaluate the instantaneous and averaged flow field. Tests were carried out following the test matrix in table 1, for propeller speed from 5000 to 8000 rpm with a step of 1000 RPM in case of corotating, counter-rotating, and isolated rotor configurations. Eight values of propeller tip-to-tip distances from r = 0.04D to r = 1D are considered.

(a)

(b)

Figure 1: PIV experimental set-up

2.2. Aeroacoustic tests The experiments were conducted in the small anechoic chamber “G. Guj” fluid dynamics laboratory at Roma TRE University. The test facility is acoustically treated through wooden- insulated walls covered with sound-absorbent panels (further details are reported in [22, 23]) and measures 3 m in height, 2m in width and 4 m in length. Due to the expected recirculation and turbulence ingestion e ff ects, the flow was facilitated through an outlet and each microphone was shielded with a foam windscreen. A total of nine Microtech Gefell M360 free-field microphones were used to measure the pressure fluctuations from the rotors. The microphone array set-ups for the

Table 1: PIV Test Matrix

Co-rotating Counter-rotating

Configuration Single Single

Twin Twin

Propeller Speed 5000-8000 rpm 5000-8000 rpm

Separation distance r = 0.04-1.2D r = 0.04-1D

azimuthal and polar directivity characterization are shown in figures 2 and 3 respectively.

Microphone power supply system a ee s = Propeller power supply system Computer Mic 1 Propeller control system Data acquisition system

(a) Set-up

z

Mic 9

Mic 8

y

Mic 7

Mic 6

Mic 5

Mic 1 Mic 2 x

Mic 4

Mic 3

(b) Set-up and frame of reference

Figure 2: Experimental set-up to characterize the azimuthal directivity

The circular array was aligned with the plane of the rotors and spanned a range of 90 degrees with a step size of 15°. The linear array was assembled parallel to the test stand. The corresponding locations of each microphone are shown in the table of figure 3. The closest microphone to the rotors

Mic 8 Mic 7 Mic 6 Mic 5 Mic 2 us Mic 1 Mic 4 Mic 3

Mic 3 h

Mic Name h / D d / D α

Mic 4

Mic 3 5 6.4 51°

d

Mic 4 4 5.6 45°

Mic 5

Mic 5 3 5 37°

Mic 6

Mic 6 2 4.5 26°

Mic 7

Mic 7 1 4.1 14°

Mic 8

Mic 8 0 4 0°

Mic 9 -1 4.1 -14°

Mic 9

Figure 3: Experimental set-up to characterize the polar directivity

in the linear array, as well as all the sensors in the circular one, were located at a radial distance of 8 rotor radii from the hubs center distance, corresponding to the acoustic far-field of the propellers. Two more microphones were placed in the nearfield, at a distance not influencing the flow evolution, to the purpose of retrieving and synchronizing the rotational speeds. The acoustic data were acquired simultaneously for 5 seconds at a sampling rate of 100 kHz, using a NI PXI-6143 data acquisition unit installed on a NI PXIe-8840 chassis. Single and twin rotors were tested varying the rotational speed, the sense of rotation, and the tip-to-tip clearance according to the test matrix shown in table 2.

Table 2: Aeroacoustic Test Matrix

Co-rotating Counter-rotating

Configuration Single Single

Twin Twin

Propeller Speed 5000-8000 rpm 5000-8000 rpm

Separation distance r = 0.04-0.24D r = 0.04-0.24D

The acquired data were analysed in the Fourier domain using the Welch algorithm. The average FFT was calculated on a block of 2 16 samples for a frequency resolution of 1.5 Hz . A Hanning window and a 50% overlap were applied between each window of the time series.

3. RESULTS

In this section, the aerodynamic and acoustic results are discussed. Since the results obtained showed that there is no significant e ff ect of the rotational speed on the interaction phenomena occurring in the flow downstream of the propeller, it was decided to present the results referring to ω = 6000 rpm, however, the same considerations were highlighted in the other cases. To provide insight into the flow physics, the vorticity magnitude across the rotors’ centreline of the isolated rotor and dual system at the closest separation distance of r = 0 . 04 D is illustrated in figure 5, both for the counter-rotating, figure 5b, and co-rotating, figure 5c, configuration. The fields obtained with the PIV were compared with those presented in ref. [21] and evaluated through CFD simulations by the research group of Prof. Grace (Boston University), showing good agreement between the numerical

Mic 3 Mic 4 Mic 5 Mic 6 Mic 7 Mic 8 Mic 9

and experimental approaches. For brevity, a comparison for the counter-rotating case at 6000 rpm is illustrated in figure 4 as an example.

Figure 4: Instantaneous planar slice of vorticity magnitude at 6000 rpm for counter-rotating propellers: comparison between numerical and experimental results;

From the analysis of the studied cases, a widening of the stream tube can be denoted, due to the interaction of the propellers’ wakes. This mutual attraction is attributed to a Coanda e ff ect dependent on the tip separation distance. At the minimum propellers’ relative position, r = 0.04D, the tip vortex is displaced at the maximum distance compared to the isolated rotor and corresponding to 0.06D to progressively decrease as the spacing increases. Furthermore, a trace of an omega-shaped, horseshoe vortex is visible in the counter-rotating configuration according to what was measured in Ref. [18] for tractor propellers, figure 5b. This vortex is generated by the interaction between the tip vortices of the two rotors; As well as for the numerical results, [21], the interactional vortex appears to be stronger for the counter-rotating case, figure 5b, and it is almost not visible when the rotors are co-rotating, figure 5c. The co-rotating configuration displays more significant mixing in the wake below the gap but does not generate the omega-shaped vortex. This mixing is weaker for the counter-rotating rotors, by reason of the induced upwash in the gap region. These phenomena lose intensity as the rotors are moved apart, minimizing the interaction e ff ects.

(a) Isolated rotor

(b) Counter-rotating rotors

(c) Co-rotating rotors

Figure 5: Instantaneous planar slice of vorticity magnitude evaluated with PIV at 6000 rpm: a)Isolated rotor b) Twin rotor configuration;

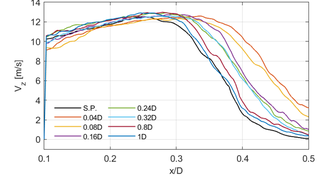
In order to determine the distances at which all interactions disappear and the propeller wake returns to that of the isolated configuration, the velocity profile trends downstream of the rotor disk

were obtained and pictured in figure 6. For each propeller rotational speed, the same considerations can be made. In the case of counter-rotating rotors, three behaviors stand out:

• for 0 . 04 D < r < 0 . 12 D , the stream tube su ff ers a strong distortion due to the proximity of the second propeller and is significantly dependent on the spacing; • for 0 . 16 D < r < 0 . 75 D , the stream tube su ff ers less distortion due to the proximity of the second propeller and is only slightly dependent on the spacing variation; • For 0 . 8 D < r < 1 D , the stream tube is comparable in size to the isolated rotor.

The tip-to-tip distance of r = 1D has been identified as the position at which aerodynamic interactions no longer occur. In the case of co-rotating propellers, the reduction of the stream tube size is more homogeneous with increasing spacing. However, in order to exclude interference e ff ects, the rotors must be separated to a greater extent, up to a distance of r = 1.2D.

(a) Counter-rotating rotors

(b) Co-rotating rotors

V, tos} 2 10 02 03 08 05

Figure 6: Mean velocity magnitude at z = 0.05D and 6000 rpm: a)Co-rotating propellers b) Counter- rotating propellers;

To investigate the influence on the noise emission of the relative position between two side-by-side rotors, the directivity patterns of the source were evaluated and here discussed in terms of overall sound pressure level (OASPL), evaluated as follows:

OAS PL = 20 log 10 σ p ref (1)

Where p ref represents the reference pressure equal to 20 µ Pa and σ indicates the standard deviation of the pressure signal. For the sake of brevity, an example of the OASPL trends at each microphone as an explicit function of r / D is illustrated in figure 7 when ω = 6000 rpm, for the counter-rotating and co-rotating case. In both configurations, the location represented by θ = 180° resulted to be the most influenced by the propeller position as well as the point characterized by maximum OASPL levels. The interaction phenomena a ff ect a quite wide range of tip-to-tip separation distances. In the case of counter-rotating propellers, as for aerodynamic results, di ff erent behaviors can be identified:

• 0.04D < r < 0.12D the sound levels show a uniform trend; • 0.14D < r < 0.2D the OASPL decreases and then rises again to its maximum value; • 0.2D < r < 0.24D the OASPL maintains constant values.

When the rotors are spinning in the same sense, 7b, and the blades are at the minimum gaps, r = 0.04D, the OASPL is similar to the one registered by the other microphones, increasing the separation distance the level raises of almost 5dB until r = 0.16D, where values start decreasing again. The OASPL measured by the microphone located at θ = 90° depicted more similar values compared to the single propeller case and a more clear dependence on the tip-to-tip spacing. Raising the separation

distance, the noise decreases until r = 0.16D, where an increment of 5 dB is exhibited, followed by a subsequent decrease of the noise level related to greater rotor separations. It has to be noted that, an increase of the rotor relative distance results in moving one of the propellers closer to the microphone in θ = 90°, marginally compromising the far-field assumption. For the OASPL detected at the other azimuthal angles, the average trend shows a slight decrease in the noise levels when the spacing is incremented.

8 8 oR fap] tasw 2 Teo 8 0.25 o1 015 02 iD 0.05

(a) Counter-rotating rotors

(b) Co-rotating rotors

Figure 7: Azimuthal directivity OASPL as a function of the rotor spacing, ω = 6000rpm: a)Counter- rotating propellers b) Co-rotating propellers;

The analysis of the polar directivity profiles shows that there is no appreciable e ff ect of the mutual position of the rotors, except for microphones placed close to the propeller disk. In these positions, however, results similar to those described for the azimuthal array were obtained.

4. CONCLUSIONS

Aerodynamic and aeroacoustic measurement campaigns have been conducted in the “G. Guj” fluid dynamics laboratory at Roma TRE University to investigate the interaction e ff ects arising between two rotors in pusher configuration, placed in close proximity. Di ff erent rotor speeds and many tip-to-tip separation distances were analyzed in order to characterize the outcome in terms of aerodynamic and acoustic impact, aiming at identifying the more critical positions. From the analysis of the PIV images, a widening of the stream tube is clearly denoted, due to the interaction of the propellers’ wakes, which progressively decrease as the spacing is increased. This mutual attraction is attributed to a Coanda e ff ect dependent on the tip separation distance. At the minimum tip-to-tip clearance, in the case of counter-rotating rotors, a trace of an omega-shaped, horseshoe vortex is visible while it is not detectable when the propellers are co-rotating despite the presence of a more significant mixing in the wake below the gap. Moreover, in the case of counter- rotating rotors, three behaviors are exhibited:

005 01 015 02 025 0 {gp} Iasvo. 1D

• for 0 . 04 D < r < 0 . 12 D , the stream tube su ff ers a strong distortion due to the proximity of the second propeller and is significantly dependent on the spacing; • for 0 . 16 D < r < 0 . 75 D , the stream tube su ff ers less distortion due to the proximity of the second propeller and is only slightly dependent on the spacing variation;

> Mic @ = 90° ~~ Mic @ = 105° —— Mic @ = 120° ~— Mic 6 = 135° ~~ Mic @ = 150° —*— Mic @ = 165° —— Mic @ = 180°:

• For 0 . 8 D < r < 1 D , the stream tube is comparable in size to the isolated rotor.

The tip-to-tip distance of r = 1D has been identified as the position at which aerodynamic interactions no longer occur. In the case of co-rotating propellers, the reduction of the stream tube size is more homogeneous with increasing spacing. However, in order to exclude interference e ff ects, the rotors must be separated to a slightly greater distance, r = 1.2D. The acoustic impact is similarly influenced by the position of the two propellers. In particular, the microphone mostly a ff ected by variations in the relative distance is the one placed in the plane of the rotor disks and directed towards the center of the system. In the case of counter-rotating rotors, the OASPL trends showed that:

• 0.04D < r < 0.12D the sound levels show a uniform trend; • 0.14D < r < 0.2D the OASPL decreases and then rises again to its maximum value; • 0.2D < r < 0.24D the OASPL maintains constant values.

When the rotors are spinning in the same sense, the OASPL increases proportionally with the separation distance until r = 0.16D, where values start decreasing again. In general, the two di ff erent configurations show comparable noise levels, however, rotors spinning in the same direction exhibited slightly lower noise values for all the spacing parameters except for intermediate distances, 0.14D < r < 0.18D.

ACKNOWLEDGEMENTS

We gratefully acknowledge the research group headed by Prof. Grace, Boston University, for their kind cooperation.

REFERENCES

[1] European Environment Agency (EEA) European Aviation Safety Agency (EASA) Eurocontrol. European aviation environmental report 2016 . URL http: // ec.europa.eu / transport / sites / transport / files / modes / air / aviation- strategy / documents / european-aviation-environmental-report-2016-72dpi.pdf, 2016. [2] C. Friedrich and P. A. Robertson. Hybrid-electric propulsion for aircraft. Journal of Aircraft , 52(1):176–189, 2015. [3] M. D. Moore. Misconceptions of electric aircraft and their emerging aviation markets. 52nd Aerospace Sciences Meeting , 2014. [4] D.E. Van Zante. Progress in Open Rotor Research , pages 1–17. 2015. [5] D. E. Van Zante, F. Collier, A. Orton, S. Khalid, J. P. Arif Wojno, and T. H. Wood. Progress in open rotor propulsors: The FAA / GE / NASA open rotor test campaign. The Aeronautical Journal , 118(1208), 2014. [6] T. Sinnige, N. Van Arnhem, T. C. A. Stokkermans, G. Eitelberg, and L. L. M. Veldhuis. Wingtip-mounted propellers: Aerodynamic analysis of interaction e ff ects and comparison with conventional layout. Journal of Aircraft , 56(1):295–312, 2019. [7] N. Van Arnhem, T. Sinnige, T. C. A. Stokkermans, G. Eitelberg, and L. L. M. Veldhuis. Aerodynamic interaction e ff ects of tip-mounted propellers installed on the horizontal tailplane. In AIAA Aerospace Sciences Meeting . American Institute of Aeronautics and Astronautics Inc. (AIAA), 2018. [8] Synodinos A. P., Self R. H., and Torija A. J. Preliminary noise assessment of aircraft with distributed electric propulsion . AIAA CEAS Conference Atlanta, Georgia, 2018.

[9] A. Ko, J. A. Schetz, and W. H. Mason. Assessment of the potential advantages of distributed- propulsion for aircraft. 2003. [10] Rizzi S. A., Palumbo D. L., J. Rathsam, Christian A. W., and Rafaelof M. Annoyance to Noise Produced by a Distributed Electric Propulsion High-Lift System . 23rd AIAA / CEAS Aeroacoustics Conference, Denver, Colorado, 2017. [11] D.L. Hu ff , B.S. Henderson, and E. Envia. Motor Noise for Electric Powered Aircraft . 22nd AIAA / CEAS Aeroacoustics Conference. [12] B. Henderson, D. Hu ff , J.D. Cluts, and C. Ruggeri. Electric motor noise from small quadcopters: Part II - source characteristics. 2018. [13] Zhou T. and Fattah R. Tonal noise characteristics of two small-scale propellers . AIAA Paper 2017-4054, 2017. [14] Sinibaldi G. and Marino L. Experimental analysis on the noise of propellers for small UAV . Applied Acoustics, Vol. 74, No. 1, pp. 79-88, 2013. [15] Intaratep N., Alexander W. N., Devenport W. J., Grace S. M., and Dropkin A. Experimental study of quadcopter acoustics and performance at static thrust conditions . AIAA Paper 2016- 2973, 2016. [16] Leslie A., Wong K. C., and Auld D. Experimental analysis of the radiated noise from a small propeller . 20th International Congress on Acoustics, 2010. [17] C. Tinney and J. Sirohi. Multirotor drone noise at static thrust. AIAA Journal , 56:1–11, 04 2018. [18] Zhou W., Ning Z. Li H., and Hu H. An experimental investigation on rotor-to-rotor interactions of small UAV . AIAA Paper 2017-3744, 2017. [19] Huanxian Bu, Han Wu, Celia Bertin, Yi Fang, and Siyang Zhong. Aerodynamic and acoustic measurements of dual small-scale propellers. Journal of Sound and Vibration , 511:116330, 2021. [20] S. Gudmundsson. General aviation aircraft design: Applied methods and procedures. General Aviation Aircraft Design: Applied Methods and Procedures , pages 1–1034, 09 2013. [21] A. D. Thai, E. De Paola, A. Di Marco, L. G. Stoica, R. Camussi, R. Tron, and S. M. Grace. Experimental and computational aeroacoustic investigation of small rotor interactions in hover. Applied Sciences , 11(21), 2021. [22] R. Camussi, M. K. Ahmad, S. Meloni, E. de Paola, and A. Di Marco. Experimental analysis of an under-expanded jet interacting with a tangential flat plate: Flow visualizations and wall pressure statistics. Experimental Thermal and Fluid Science , page 110474, 2021. [23] E. De Paola, A. Di Marco, R. Camussi, and E. Carbini. Aeroacoustic characterization of two pusher propellers in di ff erent configurations. INTER-NOISE and NOISE-CON Congress and Conference Proceedings , 259(3):5998–6007, 2019.