Welcome to the new IOA website! Please reset your password to access your account.

Modelling of acoustic metamaterial sound insulator using a transfer matrix method for aircraft cabin applications

Zacharie Laly 1 CRASH, Centre de Recherche Acoustique-Signal-Humain, Université de Sherbrooke, 2500 Boul. de l’Université, Sherbrooke, Québec, J1K 2R1, Canada. Department of Mechanical and Materials Engineering, Queen's University, 99 University Ave, Kingston , ON, K7L 3N6, Canada. Christopher Mechefske 2 Department of Mechanical and Materials Engineering, Queen's University, 99 University Ave, Kingston , ON, K7L 3N6, Canada. Sebastian Ghinet 3 National Research Council Canada, Aerospace, 1200 Montreal Road, Ottawa ON, K1A 0R6, Canada Charly T. Kone 4 National Research Council Canada, Aerospace, 1200 Montreal Road, Ottawa ON, K1A 0R6, Canada Noureddine Atalla 5 CRASH, Centre de Recherche Acoustique-Signal-Humain, Université de Sherbrooke, 2500 Boul. de l’université, Sherbrooke, Québec, J1K 2R1, Canada. ABSTRACT

The incorporation of acoustic metamaterials in the design of aircraft fuselage panels in order to reduce the cabin low frequency noise is nowadays a major research subject aiming at offering passengers a comfortable cabin environment. In this study, acoustic metamaterial made of Helmholtz resonators periodically embedded into a porous material is investigated using transfer

1 zacharie.laly@usherbrooke.ca

2 chris.mechefske@queensu.ca

3 sebastian.ghinet@nrc-cnrc.gc.ca

4 tenoncharly.kone@nrc-cnrc.gc.ca

5 noureddine.atalla@usherbrooke.ca

matrix approaches combined with finite element calculations. These transfer matrix methods are based on the two-load methods where the two loads in the numerical simulations are two different termination conditions (plane wave radiation and rigid wall) in order to retrieve the equivalent transfer matrix of the porous layer with embedded periodic Helmholtz resonators. The equivalent matrix is then coupled analytically in series with others analytical matrices to model complex multilayer metamaterials. The results of the transmission loss obtained exclusively using finite element method for single and double wall configurations are compared with the results of the proposed transfer matrix methods and good agreements are obtained. It is observed that the frequency band of the transmission loss of the double wall configuration is larger than the single wall configuration with higher transmission loss peak value. The investigated metamaterial can potentially be used in the design of aircraft cabin panels for low frequency noise reduction.

1. INTRODUCTION

Low-frequency noise inside aircraft cabins is harmful to the health and well-being of passengers. Aircraft manufacturers need to improve the acoustic comfort in the cabin in order to provide passengers and aircrew the quietest and most comfortable environment. Acoustic metamaterials based on periodic Helmholtz resonators are a potential solution that can be used in the design of new vehicle cabins to attenuate low frequency noise. Prydz et al. [1] studied a multilayer panel, which contains internal Helmholtz resonators. They showed that the transmission loss of a double wall structure was improved by adding tuned acoustic resonators. Sugie et al. [2] investigated the acoustic performance of heterogeneous material consisting of a Helmholtz resonator embedded within a cavity of a double-leaf partition. They illustrated high sound insulation of the double-leaf partition at the resonance frequency of the resonator. Doutres et al. [3] investigated the acoustic properties of porous material with embedded periodic Helmholtz resonators and showed the transmission loss improvement at the resonance of the Helmholtz resonator. Abbad et al. [4] used numerical and experimental approaches to evaluate the acoustic performance of a front membrane-cavity Helmholtz resonator embedded in a porous matrix. They observed sound transmission loss enhancement at medium and high frequencies. Glass wool layer with embedded periodic Helmholtz resonators in single and double wall configurations was studied by Ghinet et al. [5]. They performed experimental measurements under diffuse field excitation to show the acoustic performance of the metamaterial design. A transfer matrix method (TMM) that combined with finite element calculations was proposed by Laly et al. [6,7] to model complex multilayer acoustic metamaterial. The proposed method was used to predict the transmission loss of porous material with embedded periodic Helmholtz resonator and the results showed good agreement with finite element method (FEM). Kone et al. [8,9] presented a hybrid numerical-analytical method to predict the sound absorption coefficient of complex metamaterials and the results were in good agreement with measurements. Porous layer with embedded periodic air-filled Helmholtz resonators was found to exhibit improved sound absorption coefficient in the viscous and inertial regimes [10]. Boutin and Becot [11,12] used the homogenization method to evaluate analytically the equivalent bulk modulus of a metamaterial made of rigid porous media with periodic inner resonators. They observed effective acoustic properties that depart from conventional poro-acoustic. Ding et al. [13,14] presented the effective properties of acoustic metamaterial containing different sized split hollow spheres and observed negative bulk modulus. Porous material with arranged periodic resonant inclusions (slotted cylinders) was studied by

Lagarrigue et al. [15]. They showed good sound absorption of the metamaterial at low frequency. Soon- Hong Park [16] presented the low frequency sound absorption characteristics of an acoustic absorber made of micro-perforated panels backed by Helmholtz resonators. Selamet et al. [17] characterized analytically, numerically and experimentally Helmholtz resonators with the cavity lined with fibrous material and they presented parametric analysis to show the influences of the thickness and the resistivity of fibrous material on the resonance frequency and transmission loss.

In this paper, acoustic metamaterial consisting of porous material with embedded periodic Helmholtz resonators is investigated using transfer matrix approaches which are based on the two-load method. These transfer matrix methods combine with finite element calculations for two different termination conditions (plane wave radiation and rigid wall) in order to retrieve the equivalent transfer matrix of the porous layer with embedded periodic Helmholtz resonators. The results of the proposed transfer matrix methods are compared with FEM results and good agreement is obtained for single and double wall configurations.

2. A DESING OF ACOUSTIC METAMATERIAL FOR AIRCRAFT CABIN

The design of acoustic metamaterials presented in this paper is mainly for aerospace applications. These metamaterials can be incorporated into aircraft cabin panels in order to reduce the low frequency noise levels inside the cabin. The Periodic Unit Cell (PUC) of the structure is made of Helmholtz resonators, which are periodically embedded within a porous material. The neck of the resonator is extended into its cavity as shown in Figure 1 because of limited available space constraint. The length and the radius of the neck are denoted by H and R respectively.

Figure 1: Helmholtz resonator with porous material: (a) Helmholtz resonator with neck extended into the cavity (b) Helmholtz resonator embedded in porous layer.

Figure 2(a) illustrates the PUC of single wall configuration, which consists of Helmholtz resonators embedded periodically within the porous material that is separated from a panel by an air gap. The PUC of double wall configuration in Figure 2(b) is made of a porous layer with embedded periodic Helmholtz resonators, sandwiched between two air gaps and two panels.

a) Neck Cavity. Bj) Melmholz tezonater 2R Neck Porous material

Figure 2: Periodic Unit Cell of the structure: (a) single wall configuration (b) double wall configuration.

The porous material and the air layer inside the neck of the resonator are modeled using the equivalent fluid model of Johnson-Champoux-Allard to account for the viscous and thermal dissipations. The equivalent density  eq   and bulk modulus  eq K  are expressed by [18,19]

with  the dynamic viscosity, r P is the Prandtl number,  is the specific heat ratio, 0 P is the atmospheric

static pressure,  the porosity,  the static airflow resistivity,   is the tortuosity,  the viscous

characteristic length and '  the thermal characteristic length. The static airflow resistivity of the air

    , which is the linear airflow

situated in the neck of the resonator is determined by [19-23] 2 8

R

resistivity of a micro perforated plate [20-23]. The porosity and the tortuosity of the air within the resonator neck are equal to 1 while the viscous characteristic length  is equal to R . . 3. PROPOSED TRANFER MATRIX METHODS (TMM)

Transfer matrix approaches are proposed in order to characterize complex multilayers of acoustic metamaterials, which can contain multiple non-homogeneous material layers. Based on the two-load method [24-26], the proposed method combines with finite element calculations for two different end terminations to retrieve the equivalent transfer matrix of the inhomogeneous material. For the metamaterials illustrated in section 2, the equivalent matrix of the porous material with the embedded periodic resonator will be evaluated by the present TMM.

a) ‘Air gap Porous material ») Al gap Porous material Air gap Panel J Panel Panel Helmholtz resonator Neck Neck Helmholtz resonator

3.1. First proposed transfer matrix method

The method described in the following can be used to obtain the equivalent transfer matrix of an inhomogeneous material that may contain complex inclusions. Figure 3 illustrates a PUC where the porous material and the periodic embedded Helmholtz resonator have the same thickness denoted by d . Normal plane wave propagation from a source is considered. Two planes denoted by P 1 and P 2 that are separated by a distance s 1 are located upstream of the porous material. Two others planes denoted by P 3 and P 4 are located downstream of the porous layer. The distance between P 3 and P 4 is denoted by s 2 . The distances between the surface of the porous layer and the planes P 2 and P 3 are denoted by L 1 and L 2 respectively. A normal incidence plane wave with pressure amplitude of 1 Pa is applied on the inlet plane. The surface acoustic pressures at the 4 planes P 1 to P 4 locations are calculated numerically for two end termination conditions which are denoted by loads “a” and “b” . The first end termination condition that is applied for the numerical simulation is plane wave radiation to minimize the reflection of acoustic wave and the second condition is rigid wall termination.

Figure 3: View cut of a PUC geometry used for the transfer matrix method.

The complex acoustic sound pressure at the four plane locations P 1 to P 4 in Figure 3 can be written as 1 1 1

jkx jkx p Ae Be    , (3)

jkx jkx p Ae Be    , (4)

2 2 2

jkx jkx p Ce De    , (5)

3 3 3

jkx jkx p Ce De    , (6)

4 4 4

where k is the acoustic propagating wave number, 1 x to 4 x represent the positions of the four plane

locations given by 1 1 1 x L s   , 2 1 x L  , 3 2 x L  , 4 2 2 x L s   , and A, B, C, D represent the complex

amplitudes of the waves. From Equations 3-6, the complex amplitudes A, B, C, D can be expressed in terms of the four acoustic sound pressures p 1 to p 4 by the following relations [24,25]

For each end termination condition case (plane wave radiation and rigid wall termination), the acoustic pressure p and particle velocity u on both faces of the material layer at x=0 and x=d are calculated

0 p A B   , jkd jkd d p Ce De    , (11)

   , (12)

jkd jkd

Ce De u Z

  ,

A B u Z

0

d

0

0

where Z 0 is the characteristic impedance of the air.

The transfer matrix that relates the acoustic pressure and particle velocity on both faces of the material layer for loads “a” and “b” can be expressed as

The transmission loss is determined using the transfer matrix components

           

T TL T Z T T Z

1 20log 2

12 10 11 0 21 22 0

. (16)

3.2. Second proposed transfer matrix method

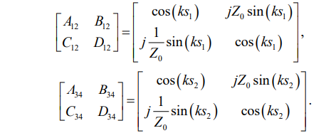
In Figure 3, if one considers the planes P 2 and P 3 , the transfer matrix, which relates the acoustic pressure p and particle velocity u on these two planes can be written as

p p A B C D u u                   

3 2 23 23

. (17)

23 23 2 3

In Equation (17), there are 4 unknown components of the matrix that are 23 A , 23 B , 23 C and 23 D . From

the numerical simulations with the two end terminations “a” and “b” , one obtains four linear equations, which are solved to find the four coefficients of the matrix given by [26]

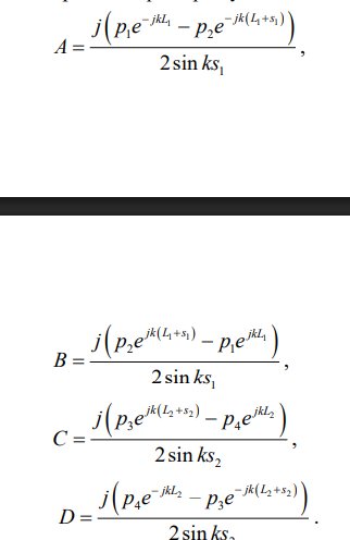
where 34 34 34 34 34 A D B C    , 3 3 / ia ia a H p p  and 3 3 / ib ib b H p p  with 1,2,4 i  . Here, ia p and ib p

represent the average surface acoustic pressure at the plane P i locations calculated numerically for the two end terminations “a” and “b” . The four-pole elements 12 A to 12 D and 34 A to 34 D in Equations 18-21

As the transfer matrix between the two planes P 2 and P 3 is known, the transfer matrix of the porous layer with embedded periodic resonator can be deduced. Let T 1 and T 2 be the transfer matrices representing the domains between the porous layer and the planes P 2 and P 3 with respective lengths of L 1 and L 2 -d . These matrices can be expressed as

Finally, the transfer matrix T of the porous layer with embedded periodic Helmholtz resonator is given by

         T . (26)

1 23 23 1 1 2 23 23 ( ) A B T T C D

 

The transmission loss is then obtained by using the components of the transfer matrix (Equation 26) into Equation (16). 4. COMPARISON OF TRANSFER MATRIX METHODS AND FEM RESULTS

To compare the results of the proposed transfer matrix methods with the results obtained exclusively by FEM, one considers two Helmholtz resonators whose geometric properties are summarized in Table 1. Figure 4 shows the view cut of the mesh of the PUC comprising the resonator inside the porous material and an incident and transmission fluid, which have a length of 150 mm. The lateral dimensions of the PUC are 100 mm x 100 mm. Table 1: Properties of Helmholtz resonator.

Resonator

Radius of the

Length of the

Radius of the

Length of the cavity

neck (mm)

neck (mm)

cavity (mm)

(mm) 1 2

5 15

20 15

35 35

30 30 The mesh is a physics-controlled mesh created by COMSOL Multiphysics with the element size set to «fine». The elements of the mesh around the neck have a very small size. On the PUC models, periodic conditions are applied on a pair of parallel planes. An incident acoustic plane wave with amplitude of 1 Pa is applied on the inlet plane. The sound transmission loss for the FEM results is obtained by

  10 in 10log / out TL W W  with in W and out W the incoming power at the inlet plane and the outgoing power

at the outlet plane.

Figure 4: View cut of a PUC mesh for numerical simulation.

For all numerical simulations, the static airflow resistivity of the porous material is 26 000 N s m -4 , the open porosity is 99%, the tortuosity is 1.02, and the characteristic viscous and thermal lengths are respectively 150 μm and 300 μm. For the determination of the equivalent transfer matrix of the porous layer with embedded resonator, the distance between the planes P 1 and P 2 in Figure 3 is set to 30 mm, with L 1 = 50 mm , d = 30 mm , L 2 = 80 mm and the distance between P 3 and P 4 is 30 mm. For each resonator of Table 1 periodically embedded within the porous material, the FEM result of the

Incident fluid Porous material Transmission fluid itelaiokersacnaner

transmission loss is compared with the results of the two transfer matrix methods in Figure 5 where Present TMM 1 represents the result of the first proposed transfer matrix method and Present TMM 2 is the second method.

Figure 5: Comparison of the transmission loss results for: (a) resonator 1 and (b) resonator 2.

In Figure 5, the FEM results and the transfer matrix methods results are in perfect agreement. The resonant frequency of the transmission loss in Figure 5(a) with resonator 1 is 288 Hz with a peak amplitude of 18 dB while with resonator 2 in Figure 5(b), the TL amplitude is 38 dB at a resonant frequency of 838 Hz.

For the next comparison, one considers the single wall configuration whose view cut of the mesh used for FEM calculation is shown in Figure 6. The panel is a 2 mm thick aluminum layer and the thickness of the air gap is set to 20 mm for resonator 1 and 40 mm for resonator 2.

Figure 6: View cut of the mesh of single wall configuration PUC.

The global transfer matrix of this three-layer system is given by g P AG T = T T T with T the matrix of

the porous material with embedded periodic resonator calculated by the present methods, AG T is the

transfer matrix of the air gap that is calculated analytically and p T the analytical matrix of 2 mm thick

aluminum panel given by

Incident fluid Porous material Transmission fluid

   

         

cos sin 1 sin cos

k h jZ k h

m m m m m

p T , (27)

   

j k h k h Z

m m m m m

where m h is the thickness of the panel, m k and m Z are the elastic longitudinal wavenumber and

mechanical impedance of the panel, respectively. The transmission loss is then determined by using the coefficient of the matrix g T in Equation (16). Figure 7 presents the comparison of the transmission loss

of single wall configuration for the two resonator. The FEM result agrees well with the results of transfer matrix methods.

Figure 7: Comparison of the transmission loss for single wall configuration: (a) resonator 1 (b) resonator 2.

In Figure 7, the resonant frequencies are identical to those observed in Figure 5, which are 288 Hz and 838 Hz where the transmission loss peaks values are 43 dB and 74 dB respectively.

The last comparison is a double wall configuration case, which consists of a porous layer with periodically embedded Helmholtz resonators sandwiched between two aluminum panels and two air gaps. The view cut of the mesh of double wall configuration PUC is presented in Figure 8. The global transfer matrix is given by g P AG AG P T = T T TT T with p T the transfer matrix of the 2 mm thick aluminum

layer calculated analytically using Equation (27) and AG T the transfer matrix of the air gap also calculated

analytically. The thickness of each air gap is set to 20 mm for resonator 1 and 30 mm for resonator 2.

Figure 8: View cut of double wall configuration mesh.

The comparison of the transmission loss of the double wall configuration is shown in Figure 9.

Figure 9: Comparison of the transmission loss results for double wall configuration: (a) resonator 1 (b) resonator 2.

A good agreement is observed in Figure 9 between the FEM and the transfer matrix methods results. The resonant frequencies of 288 Hz and 838 Hz remain the same where the transmission loss amplitudes are respectively 57 dB and 103 dB. The TL frequency band of the double wall configuration in Figure 9 is larger than the one of single wall configuration in Figure 7 with higher transmission loss value.

5. CONCLUSION

Transfer matrix methods in combination with finite element calculations were proposed and used to predict the transmission loss of Helmholtz resonators periodically embedded within a porous material. These transfer matrix methods were based on the two-load methods, which represent plane wave radiation and rigid wall termination in the numerical simulations. The results of the proposed transfer matrix methods for single and double wall configurations were in good agreement with FEM. Double wall configuration presented a transmission loss frequency band that is larger than the one of single wall

Incldent uid Alrgap Posougmetertsl Transmission fd andl cee Regan Poet

configuration. The investigated metamaterial can potentially be integrated into the design of aircraft cabin panels for low frequency noise attenuation.

6. ACKNOWLEDGEMENT

The authors would like to acknowledge the National Research Council Integrated Aerial Mobility Program for the financial support. 7. REFERENCES

[1] Prydz, R. A., Wirt, L. S., Kuntz, H. L. & Pope LD. Transmission loss of a multilayer panel with internal tuned Helmholtz resonators. Journal of Acoustical Society of America, 87(4) , 1597–1602 (1990). [2] Sugie, S., Yoshimura, J. & Iwase, T. Effect of inserting a Helmholtz resonator on sound insulation in a double-leaf partition cavity. Acoust Sci Tech , 30(5) , 317–326 (2009). O [3] Doutres, O., Atalla, N. & Osman, H. Transfer matrix modeling and experimental validation of cellular porous material with resonant inclusions. Journal of Acoustical Society of America, 137(6) , 3502–3513 (2015). [4] Abbad, A., Atalla, N., Ouisse, M. & Doutres, O. Numerical and experimental investigations on the acoustic performances of membraned Helmholtz resonators embedded in a porous matrix. Journal of Sound and Vibration, 459 , 114873 (2019) . [5] Ghinet, S., Bouche, P., Padois, T., Pires, L., Doutres, O., Kone, C. T., Triki, K., Abdelkader, F., Panneton, R. & Atalla, N. Experimental validation of acoustic metamaterials noise attenuation performance for aircraft cabin applications, In Proceedings of 2020 Inter-national Congress on Noise Control Engineering, INTER-NOISE 2020, 23-26 August 2020 Seoul, South Korea. [6] Laly, Z., Panneton, R. & Atalla, N. Characterization and development of periodic acoustic metamaterials using a transfer matrix approach. Applied Acoustics 185 , 108381 (2022). [7] Laly, Z., Panneton, R. & Atalla, N. A transfer matrix approach for modeling periodic acoustic metamaterial. In Proceedings of 26th International Congress on Sound and Vibration, ICSV 2019 , 7-11 July 2019, Montreal, Canada. [8] Kone, T. C., Lopez, M., Ghinet, S., Dupont, T. & Panneton, R. Thermoviscous-acoustic metamaterials to damp acoustic modes in complex shape geometries at low frequencies. Journal of Acoustical Society of America, 150(3) , 2272–2281 (2021). [9] Kone, T. C, Ghinet, S., Panneton, R. & Anant, G. Optimization of metamaterials with complex neck shapes for aircraft cabin noise improvement. In Proceedings of 2021 Inter-national Congress on Noise Control Engineering, INTER-NOISE 2021, 1-5 August 2021 Washington, USA. [10] Groby, P. J., Lagarrigue, C., Brouard, B., Dazel, O. & Tournat, V. Enhancing the absorption properties of acoustic porous plates by periodically embedding Helmholtz resonators. Journal of Acoustical Society of America, 137(1) , 273–280 (2015). [11] Boutin, C. Acoustics of porous media with inner resonators. Journal of Acoustical Society of America, 134(6) , 4717–4729 (2013). [12] Boutin, C. & Becot, F. X. Theory and experiments on poro-acoustics with inner resonators. Wave Motion, 54 , 76–99 (2015).

[13] Ding, C. L. & Zhao, X. P. Multi-band and broadband acoustic metamaterial with resonant structures. Journal of Physics D: Applied Physics , 44 , 215402 (2011). [14] Ding, C. L., Chen, H., Zhai, S. & Zhao, X. P. Acoustic metamaterial based on multi-split hollow spheres. Applied Physics , 44 , 215402 (2011). [15] Lagarrigue, C., Groby, J. P, Tournat, V. & Dazel, O. Absorption of sound by porous layers with embedded periodic arrays of resonant inclusions. Journal of Acoustical Society of America, 134(6) , 4670–4680 (2013). [16] Soon-Hong Park. Acoustic properties of micro-perforated panel absorbers backed by Helmholtz resonators for the improvement of low-frequency sound absorption. Journal of Sound and Vibration , 332(20) , 4895-4911 (2013). [17] Selamet, A., Xu, M. B. & Lee, I.-J. Helmholtz resonator lined with absorbing material. Journal of Acoustical Society of America , 117(2), 725-733 (2005). [18] Allard, J-F. & Atalla N. Propagation of sound in porous media: modeling sound absorbing materials, 2nd Edition. New York: Elsevier applied sciences, 2009. [19] Zacharie Laly. Développement, validation expérimentale et optimisation des traitements acoustiques des nacelles de turboréacteurs sous hauts niveaux acoustiques. PhD Thesis, Université de Sherbrooke, QC, Canada, 2017. [20] Zacharie Laly, Noureddine Atalla & Sid-Ali Meslioui. Acoustical modeling of micro-perforated panel at high sound pressure levels using equivalent fluid approach. Journal of Sound and Vibration 427 , 134-158 (2018). [21] Laly, Z., Atalla, N., Meslioui, S.-A. & Bikri, K. E. Sensitivity analysis of micro-perforated panel absorber models at high sound pressure levels. Applied Acoustics 156 , 7–20 (2019). [22] Laly Zacharie, Atalla Noureddine & Meslioui Sid-Ali. Characterization of microperforated panel at high sound pressure levels using rigid frame porous models. In Proceedings of Meetings on Acoustics, 173rd meeting of Acoustical Society of America, Vol. 30, Boston (2017). [23] Laly, Z., Atalla, N., Meslioui, S.-A. & Bikri, K. E. Modeling of acoustic lined duct with and without grazing air flow by an analytical method. Noise Control Engineering Journal , 66(4) , 340-352 (2018). [24] ASTM E2611-19: Standard Test Method for Normal Incidence Determination of Porous Material Acoustical Properties Based on the Transfer Matrix Method (American Society for Testing and Materials, New York; 2019). [25] Song, B. H. & Bolton, J. S. A transfer-matrix approach for estimating the characteristic impedance and wave numbers of limp and rigid porous materials. Journal of Acoustical Society of America , 107(3) , 1131-1152 (2000). [26] Munjal, M. L. & Doige, A. G. Theory of a two source-location method for direct experimental evaluation of the four-pole parameters of an aeroacoustic element. Journal of Sound and Vibration , 141(2) , 323-33 (1990).